濠滨论坛

点击扫描二维码

查看: 4421|回复: 33

[科普] 为什么我们还没遇到外星人?

[复制链接]

该用户从未签到

发表于 2015-10-8 11:45 | 显示全部楼层 |阅读模式 来自:江苏
从宇宙诞生至今,已经过去一百三十多亿年。仅银河系中就有约 2.5 × 10 11 颗恒星,整个可观测宇宙中的恒星数量则约有 7 × 10 22 颗之多。一个理所当然的想法是,人类在宇宙中并不是独特的智慧生命,整个宇宙还会有其他的高等文明。但问题是,为什么我们还没发现外星人的踪迹?# K( n- X1 M: F" W9 `2 |0 [2 v
当然,人类能够探索到的地方相对整个宇宙来所微不足道。但宇宙拥有悠久的历史和数量庞大的星体,我们有理由相信,存在某个外星文明的科技水平远超人类,他们(至少是他们发出的讯息)应该早已到达地球。可是迄今为止,还没有人发现外星人存在的证据。
2 {1 @  H) ^. e; F5 i. L1 [1 X1950年,物理学家恩里科?费米(Enrico Fermi)在吃午饭的路上和同事讨论起了这个问题。费米问:“他们在哪里?”(Where is everybody?)“他们”,自然就是指外星人。这个著名的问题现在被称为费米悖论,它完整的表述为:宇宙显著的尺度和年龄意味着高等地外文明应该存在。然而,这个假设始终得不到充分的证据支持。" ^' M. P5 a+ U! z0 d
针对费米悖论,已经有了许许多多的研究和解释:或许智慧生命存在的稀少程度超乎我们想象;或许其他智慧生命的行为方式和我们的思维并不相同。而来自俄罗斯和乌克兰的两位科学家 Bezsudnov 和 Snarskii,则在自己的研究中建立了一个宇宙中智慧生物扩张的模型,试图解释这个问题。0 m) l" Z% H1 O; i3 N- ]
宇宙文明的扩张在这项研究中,两位科学家建立的自动机模型描述如下:$ f- S# p3 c( F1 V! ~9 x
1.整个宇宙空间用一个有限大小的二维离散网格来模拟,每个格子都可能存在一个或多个文明,或者不存在文明;" T$ V3 H1 G- D& W! v: d
2.模拟的宇宙中时间是离散的,最小时间单位为1;0 ~' _" _/ y( \0 a6 x* r
3.每个格子在每一个时间都有 n (0
. H3 W1 y& |- B  h4 u2 x4.在一个文明产生后的 T 0 个时间内,文明将向外扩张,扩张的规律是:以最初产生文明的格子为中心,每个时间单位将四条边向上下左右各扩张一格,变成一个新的正方形;之后该文明将以同样的速度向内收缩,直到最终消失;: T7 h/ H# M+ a2 s/ b; u" r
5.如果两个文明接触了(扩张时在某个格子中发生了重叠,只计算第一次接触),那么它们进行扩张的时间各自增加 T b 个时间单位;
: l! q  {! c7 @& R9 e' N# B) p$ W6.当两个文明接触后,他们之间的交流不会中断;如文明A和B在某个时间接触了,若之后 B 又和 C 接触了,那么这时即使A和C并没有直接接触,文明 A 也会获得 T b 的扩张时间加成。
# t* D  z8 f8 F' r9 p- b7 f让我们来解释一下。研究者假设,每个文明都有特定的寿命,并都会会经历 发展——巅峰——衰退——灭亡或崩溃 的过程。当技术的发展遭遇限制时,文明开始衰退,由于没有新技术和资源,这个文明也就逐渐与外界终止了接触。在上面这个模型中,科学家就还提出了一种新的法则:当不同文明在空间和时间上相遇时,会相互交流,彼此促进发展,进而延长了各自文明的寿命。6 s0 _) A& U; D9 p
而上面模型中的 T 0 ,就是孤立文明的寿命。当它和新文明交流时,相互促进使得其寿命延长的时间被设为 T b (为方便起见,这里假设所有文明的情况都是一样的)。+ A3 a* V1 K2 E5 e  c) M# P
举个例子,如图所示,在某个时间 t1,宇宙中存在若干个文明,其中 2 号文明和 5 号文明正在收缩,其他文明都在扩张。到 t2 = t1 + 1 时, 3 号和 4 号文明在扩张的过程中接触了,此时 3 号和 4 号文明的扩张时间将各自增加 T b 。而到了 t3 = t2 + 1 时, 1 号文明和 3 号文明也接触了, 1 号、 3 号和 4 号文明各自获得 T b 的扩张时间加成。也就是说,最终 1 号文明获得了 T b 的总时间加成,而 3 号和 4 号文明则各自获得了 2T b 的时间加成。- n0 M& M4 [  o- ^# S" K

/gkimage/js/qs/7r/jsqs7r.png

/gkimage/js/qs/7r/jsqs7r.png
可以看出,这个模型中只有三个参数: T 0 、 T b 和 n。研究者据此建立了这样一个自动机。在他们的模拟中,宇宙的大小为 104×104, T 0 的取值范围是4至20, n的取值范围则是 3 × 10 -8 至 3 × 10 -5 。通过调整 T b 的取值并进行 320000 个时间单位的模拟后,科学家们发现了一些有趣的现象。) ~  k" }- ?0 @/ g) @
当宇宙是“黑暗森林”时会发生什么科幻作家刘慈欣的《三体》中,曾提出“黑暗森林”理论。这个理论指出,由于猜疑链与技术爆炸,高等文明对低等文明都持有敌对态度,任何暴露自己存在的文明必将被消灭。虽然在本文介绍的模型并没有考虑文明间互相消灭或者敌对状态,但是我们可以考虑一种文明间互不干涉的情况。此时文明间的不存在相互交流和促进;对于整个模型来说,即为 T b = 0 的情况。
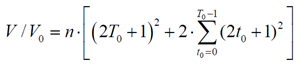
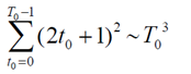
6 `  V! Z2 E6 w4 w) Z在这种状态下,每个文明持续的时间都是确定的:在文明产生后,先扩张再收缩,持续 T 0 个时间单位,最终这个文明会消失。如果将时间看做除了上面的网格图两个维度之外的第三维(如下图),那么这个模型中,存在文明的体积与整个模拟过程的体积之比(即图中有颜色的圆柱体总体积与整个空间的体积之比)为:7 U' ^+ G/ }5 h4 E

/gkimage/9j/fs/e1/9jfse1.png

/gkimage/9j/fs/e1/9jfse1.png

/gkimage/cj/7s/qm/cj7sqm.png

/gkimage/cj/7s/qm/cj7sqm.png
因为 T 0 远大于 1,我们可以做如下估算:* Z/ N$ J7 L/ Z

/gkimage/g3/bn/p9/g3bnp9.png

/gkimage/g3/bn/p9/g3bnp9.png
又因为 V 0 是给定的,所以可以认为宇宙中生命出现的体积与 n 和 T 0 的幂成正比,即:
+ L1 v6 B9 P' b, X& M

/gkimage/ix/if/ce/ixifce.png

/gkimage/ix/if/ce/ixifce.png
通过以上分析可以估算出,α≈1,β≈3。更精确的计算指出,α = 0.91±0.005,β = 2.79±0.02。% d2 m; O' |- P: b9 ~" R; _
在这种情况下,生命将各自独立地繁衍,很显然,宇宙在这个参数下,永远也不可能被生命填满。对于一个文明,在产生、发展直至消失的过程中没有遇到其它文明,大概也就是理所当然的事情了。
2 k8 M/ z2 z: p1 F: N$ q* j, ~文明间的相互促进虽然“黑暗森林”是一个非常具有想象力的理论,但是以人类的价值观来看,两个文明接触后相互交流(而不是互相打击),是很正常的事情。这种不同文明间相互交流的情况,也就是 T b > 0 的情况。8 u7 y3 Y; Q: G: N1 X
针对不同的 T b ,几位科学家分别进行了模拟,如下图:
+ l1 b3 f3 b+ h- O

/gkimage/f5/n7/0a/f5n70a.png

/gkimage/f5/n7/0a/f5n70a.png
途中横轴是宇宙的时间轴,而纵轴则是在某一个时刻宇宙被文明充斥的程度(即前文中计算的 V / V 0 )。
7 M* A% V) b; h5 c$ E0 B5 S当 T b = 0 的情况,模拟结果和之前的计算结果很相近,整个宇宙一直处于平稳发展的状态,文明不断地产生和消失。
- C8 \% o6 B0 V6 V4 f当 T b = 28 时,可以看到宇宙比前一种情况下被填得更满了。而且在某些时刻, V/ V 0 的值会突然出现波动。这是因为文明的产生是随机的,可能在某一个时刻,几个相距很近的文明相遇了,这会让他们持续发展很长一段时间。在这段时间中,前一个情况下“自生自灭”的平衡被打破了,宇宙也会被存在生命的星体覆盖得更满。但是在这之后它们因为没有足够的机会遇到新的文明,这几个文明最终消失,宇宙恢复了原来的样子。
" M4 u9 D9 H) O8 X而当 T b = 38 时,图像就和之前的两种情况截然不同了。可以看到,在某个时间点,宇宙内的文明突然产生了暴增,并最终占满整个宇宙。这是因为 T b 的值比前两种情况更大,文明就会有更多的时间去扩张自己,从而在扩张的过程中遇到更多新的文明。在 T b 足够大的时候(例如 T b = 38),文明扩张的时间足够长,在扩张过程中遇不到新的文明、最终收缩的概率也几乎为0,此时就可以认为文明将一直扩张下去,直到整个宇宙都被文明占领。* a* U, [2 `7 {3 i  D, r
现实中的宇宙两位科学家的这个研究,提出了一些可能对费米悖论进行解释的途经。模型中的 T b 值与 n 值的大小,会显著的影响文明和文明相遇的可能性。可能因为宇宙中 T b 的值太小,人类文明没有足够的几率探索到其它文明;也可能因为人类文明产生的时间太短,还没来得及与外星人有接触。
  c8 l2 [- P. }9 l2 z3 K8 ?* v1 \虽然这个研究非常有吸引力,但是要知道,它只是一个极度简化的模型,并不能完全代表真实的宇宙。在人类探索宇宙,试图寻找外星文明存在的蛛丝马迹时,遇到的问题远比这个模型复杂得多。
# X5 o$ j) ?6 c9 }3 P( m例如一个著名的分布式计算项目 SETI@Home,就是通过分析阿雷西博射电望远镜从宇宙中采集的无线电信号,试图以此找出外星文明的存在的证据。但很可惜,直到今天,这个项目也没能有所发现。先不论外星文明不一定会使用电磁波进行信息传递,即使真的有这样的电磁波存在,从宇宙的背景噪音中将其提取出来也并不像想象中那么简单。距离人类找到外星文明的那一天,似乎还遥遥无期。  x% S, l; `) M# W1 T2 l6 j
但是,人类也不会因此就停下探索的步伐。对未知的渴求,正是推动整个社会发展的重要动力。在这个宇宙中,我们不能理解的事情还有很多;但是未来又为我们提供了无尽的可能性——有谁能说一定不会有这么一天,人们真的能够发现外星文明,甚至能够和他们见面,友好地握一握手呢!
其实人类曾努力向外太空发射过一段电波,向可能存在的外星人介绍了地球的大致情况。不过外星人不懂地球语,科学家是如何解决这个问题的呢?请看:
外星人,你能看懂我们发给你的信息吗?
% B8 f' g4 Z1 `1 l# [参考资料: Where is everybody? - Wait a moment… New approach to the Fermi paradox. I.Bezsudnov A.Snarskii南通0
匿名
发表于 2015-10-8 11:48 | 显示全部楼层 来自:江苏
提示: 作者被禁止或删除 内容自动屏蔽
回复 支持 反对

使用道具 举报

匿名
发表于 2015-10-8 12:13 | 显示全部楼层 来自:江苏
提示: 作者被禁止或删除 内容自动屏蔽
回复 支持 反对

使用道具 举报

匿名
发表于 2015-10-8 12:28 | 显示全部楼层 来自:江苏
提示: 作者被禁止或删除 内容自动屏蔽
回复 支持 反对

使用道具 举报

该用户从未签到

发表于 2015-10-8 12:58 | 显示全部楼层 来自:江苏
回复 支持 反对

使用道具 举报

匿名
发表于 2015-10-8 13:13 | 显示全部楼层 来自:江苏
提示: 作者被禁止或删除 内容自动屏蔽
回复 支持 反对

使用道具 举报

该用户从未签到

发表于 2015-10-8 13:30 | 显示全部楼层 来自:江苏
前排。
回复 支持 反对

使用道具 举报

匿名
发表于 2015-10-8 13:45 | 显示全部楼层 来自:江苏
提示: 作者被禁止或删除 内容自动屏蔽
回复 支持 反对

使用道具 举报

匿名
发表于 2015-10-8 14:10 | 显示全部楼层 来自:江苏
提示: 作者被禁止或删除 内容自动屏蔽
回复 支持 反对

使用道具 举报

匿名
发表于 2015-10-8 14:32 | 显示全部楼层 来自:江苏
提示: 作者被禁止或删除 内容自动屏蔽
回复 支持 反对

使用道具 举报

该用户从未签到

发表于 2015-10-8 14:58 | 显示全部楼层 来自:江苏
因为星际大航海时代,还木有来到。
回复 支持 反对

使用道具 举报

匿名
发表于 2015-10-8 15:22 | 显示全部楼层 来自:江苏
提示: 作者被禁止或删除 内容自动屏蔽
回复 支持 反对

使用道具 举报

匿名
发表于 2015-10-8 15:38 | 显示全部楼层 来自:江苏
提示: 作者被禁止或删除 内容自动屏蔽
回复 支持 反对

使用道具 举报

匿名
发表于 2015-10-8 16:00 | 显示全部楼层 来自:江苏
提示: 作者被禁止或删除 内容自动屏蔽
回复 支持 反对

使用道具 举报

匿名
发表于 2015-10-8 16:17 | 显示全部楼层 来自:江苏
提示: 作者被禁止或删除 内容自动屏蔽
回复 支持 反对

使用道具 举报

该用户从未签到

发表于 2015-10-8 16:43 | 显示全部楼层 来自:江苏
看来制造光速船很有必要啊。。。要达到星际间航行的目的,非要制造出光速船不可!!!。。。但是人类对于自己已经发现的物理法则的态度大多数时候是comply而不是去hack。。。这就是人类技术落后的本质原因!

为什么我们还没遇到外星人?

为什么我们还没遇到外星人?
回复 支持 反对

使用道具 举报

匿名
发表于 2015-10-8 17:12 | 显示全部楼层 来自:江苏
提示: 作者被禁止或删除 内容自动屏蔽
回复 支持 反对

使用道具 举报

匿名
发表于 2015-10-8 17:32 | 显示全部楼层 来自:江苏
提示: 作者被禁止或删除 内容自动屏蔽
回复 支持 反对

使用道具 举报

匿名
发表于 2015-10-8 18:02 | 显示全部楼层 来自:江苏
提示: 作者被禁止或删除 内容自动屏蔽
回复 支持 反对

使用道具 举报

匿名
发表于 2015-10-8 18:30 | 显示全部楼层 来自:江苏
提示: 作者被禁止或删除 内容自动屏蔽
回复 支持 反对

使用道具 举报

匿名
发表于 2015-10-8 18:47 | 显示全部楼层 来自:江苏
提示: 作者被禁止或删除 内容自动屏蔽
回复 支持 反对

使用道具 举报

匿名
发表于 2015-10-8 19:14 | 显示全部楼层 来自:江苏
提示: 作者被禁止或删除 内容自动屏蔽
回复 支持 反对

使用道具 举报

匿名
发表于 2015-10-8 19:38 | 显示全部楼层 来自:江苏
提示: 作者被禁止或删除 内容自动屏蔽
回复 支持 反对

使用道具 举报

该用户从未签到

发表于 2015-10-8 20:06 | 显示全部楼层 来自:江苏
嗯,但是这个模型很有意思
回复 支持 反对

使用道具 举报

您需要登录后才可以回帖 登录 | 注册

本版积分规则

手机版|无图版|站务联系 | 商务合作 | 平台公约

信息产业部备案:苏ICP备05014191号-1 经营性ICP许可证:苏B2-20110445 苏公网安备 32060202000307号 © 2001-2019 0513.org All Right Reserved.

投诉争议 技术支持:第一互联 GMT+8, 2025-12-17 21:16 , Processed in 1.596651 second(s), 15 queries , MemCache On. 站点统计

快速回复 返回顶部 返回列表