濠滨论坛

点击扫描二维码

查看: 3177|回复: 32

[科普] 折射定律,蚂蚁也懂

[复制链接]

该用户从未签到

发表于 2015-10-8 14:58 | 显示全部楼层 |阅读模式 来自:江苏
(文/活躍星系核)最近有研究发现,蚂蚁在不同的表面行走时,会遵行折射定律,也就是说,蚂蚁所走的距离,虽不是最短距离,却是最省时的路线。研究人员收集了以色列小火蚁的巢穴,一个巢穴约有几千只的工蚁与几只的蚁后,并将蚂蚁们放在墙边的角落,而食物源放在另一个对角的角落,为了到达食物的角落,必须穿过由不同材料所覆盖的区域,不同的材料影响了蚂蚁步行的平均速率:粗糙的聚酯毡(1.73毫米/秒),光滑聚酯毡(2.97毫米/秒),和聚乙烯玻璃(4.89毫米/秒)。

折射定律,蚂蚁也懂

折射定律,蚂蚁也懂
光的折射
! x7 j2 R; M- x5 r9 p2 y* |( z4 r 研究人员预测的角度的限制,蚂蚁会跨越从一个表面到另一个表面,他们将选择最快的路径。按照至少一次费马原理,该角度可以被认为是折射角,类似于光的折射,是以特定的角度在不同介质传播。就如同救生员必须找到最佳路径,以最快的方式到达一个溺水的游泳者,而不是最短距离。 生活中光的折射现象很常见,插在水中似乎折断的吸管、下过雨后的彩虹、太阳光射入玻璃后成彩色光线,都是因为光在不同的介质中,传递的速度不同,而造成光偏折的现象,我们称之为光的折射。

折射定律,蚂蚁也懂

折射定律,蚂蚁也懂
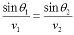
光的折射 而光的偏折并不是任意的偏折,它的行进路线会遵守折射定律:

折射定律,蚂蚁也懂

折射定律,蚂蚁也懂
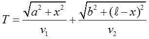
(θ1,θ2表示入射角与折射角,n1, n2分别表示入射介质与折射介质的折射率),又称斯涅尔定律,而满足这样路径的光线,可以使光从P点到Q点行经的“时间”最短,而不是距离最短。 利用数学的费马原理证明,由P点到Q点所行经的时间T为

折射定律,蚂蚁也懂

折射定律,蚂蚁也懂
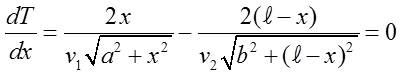
当时间T对x取导数,若T为极小值,则导数值为零。

折射定律,蚂蚁也懂

折射定律,蚂蚁也懂
又,

折射定律,蚂蚁也懂

折射定律,蚂蚁也懂

折射定律,蚂蚁也懂

折射定律,蚂蚁也懂
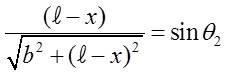
, 因此可化简成:

折射定律,蚂蚁也懂

折射定律,蚂蚁也懂
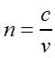
再根据折射率的定义:

折射定律,蚂蚁也懂

折射定律,蚂蚁也懂
即可得到斯涅尔定律:

折射定律,蚂蚁也懂

折射定律,蚂蚁也懂
?

折射定律,蚂蚁也懂

折射定律,蚂蚁也懂
遵循折射定律爬行的蚂蚁。 研究人员还指出,蚂蚁也喜欢依边框的边缘行进(在现实生活中,蚂蚁往往沿着人行道的边缘行走),这可能便于蚂蚁定位地标,也意味着只需要较少的信息。 活学折射定律还可以帮你搭讪哦,请看果壳网文章:搭讪要像光一样,嗖!本文转载自PanSci,部分文字有改动。果壳相关小组万物至理南通0
匿名
发表于 2015-10-8 15:06 | 显示全部楼层 来自:江苏
提示: 作者被禁止或删除 内容自动屏蔽
回复 支持 反对

使用道具 举报

匿名
发表于 2015-10-8 15:22 | 显示全部楼层 来自:江苏
提示: 作者被禁止或删除 内容自动屏蔽
回复 支持 反对

使用道具 举报

匿名
发表于 2015-10-8 15:40 | 显示全部楼层 来自:江苏
提示: 作者被禁止或删除 内容自动屏蔽
回复 支持 反对

使用道具 举报

匿名
发表于 2015-10-8 16:00 | 显示全部楼层 来自:江苏
提示: 作者被禁止或删除 内容自动屏蔽
回复 支持 反对

使用道具 举报

该用户从未签到

发表于 2015-10-8 16:20 | 显示全部楼层 来自:江苏
蚂蚁是一维动物/ l2 {. n1 p( H( O: w* m, H
来自果壳精选
回复 支持 反对

使用道具 举报

匿名
发表于 2015-10-8 16:43 | 显示全部楼层 来自:江苏
提示: 作者被禁止或删除 内容自动屏蔽
回复 支持 反对

使用道具 举报

匿名
发表于 2015-10-8 17:09 | 显示全部楼层 来自:江苏
提示: 作者被禁止或删除 内容自动屏蔽
回复 支持 反对

使用道具 举报

匿名
发表于 2015-10-8 17:28 | 显示全部楼层 来自:江苏
提示: 作者被禁止或删除 内容自动屏蔽
回复 支持 反对

使用道具 举报

该用户从未签到

发表于 2015-10-8 17:58 | 显示全部楼层 来自:江苏
是时候研究蚂蚁的波动性了!
回复 支持 反对

使用道具 举报

匿名
发表于 2015-10-8 18:19 | 显示全部楼层 来自:江苏
提示: 作者被禁止或删除 内容自动屏蔽
回复 支持 反对

使用道具 举报

匿名
发表于 2015-10-8 18:47 | 显示全部楼层 来自:江苏
提示: 作者被禁止或删除 内容自动屏蔽
回复 支持 反对

使用道具 举报

匿名
发表于 2015-10-8 19:15 | 显示全部楼层 来自:江苏
提示: 作者被禁止或删除 内容自动屏蔽
回复 支持 反对

使用道具 举报

匿名
发表于 2015-10-8 19:38 | 显示全部楼层 来自:江苏
提示: 作者被禁止或删除 内容自动屏蔽
回复 支持 反对

使用道具 举报

匿名
发表于 2015-10-8 20:04 | 显示全部楼层 来自:江苏
提示: 作者被禁止或删除 内容自动屏蔽
回复 支持 反对

使用道具 举报

匿名
发表于 2015-10-8 20:19 | 显示全部楼层 来自:江苏
提示: 作者被禁止或删除 内容自动屏蔽
回复 支持 反对

使用道具 举报

匿名
发表于 2015-10-8 20:48 | 显示全部楼层 来自:江苏
提示: 作者被禁止或删除 内容自动屏蔽
回复 支持 反对

使用道具 举报

匿名
发表于 2015-10-8 21:07 | 显示全部楼层 来自:江苏
提示: 作者被禁止或删除 内容自动屏蔽
回复 支持 反对

使用道具 举报

匿名
发表于 2015-10-8 21:23 | 显示全部楼层 来自:江苏
提示: 作者被禁止或删除 内容自动屏蔽
回复 支持 反对

使用道具 举报

匿名
发表于 2015-10-8 21:40 | 显示全部楼层 来自:江苏
提示: 作者被禁止或删除 内容自动屏蔽
回复 支持 反对

使用道具 举报

匿名
发表于 2015-10-8 22:01 | 显示全部楼层 来自:江苏
提示: 作者被禁止或删除 内容自动屏蔽
回复 支持 反对

使用道具 举报

匿名
发表于 2015-10-8 22:17 | 显示全部楼层 来自:江苏
提示: 作者被禁止或删除 内容自动屏蔽
回复 支持 反对

使用道具 举报

匿名
发表于 2015-10-8 22:44 | 显示全部楼层 来自:江苏
提示: 作者被禁止或删除 内容自动屏蔽
回复 支持 反对

使用道具 举报

该用户从未签到

发表于 2015-10-8 23:03 | 显示全部楼层 来自:江苏
难道不是因为蚂蚁左右两排腿不同时接触到另一种材料导致的吗 和波发生折射的原理一样
回复 支持 反对

使用道具 举报

您需要登录后才可以回帖 登录 | 注册

本版积分规则

手机版|无图版|站务联系 | 商务合作 | 平台公约

信息产业部备案:苏ICP备05014191号-1 经营性ICP许可证:苏B2-20110445 苏公网安备 32060202000307号 © 2001-2019 0513.org All Right Reserved.

投诉争议 技术支持:第一互联 GMT+8, 2025-12-17 13:32 , Processed in 0.168546 second(s), 14 queries , MemCache On. 站点统计

快速回复 返回顶部 返回列表