濠滨论坛

点击扫描二维码

查看: 2592|回复: 30

[科普] 9大Geek不可不知的公式

[复制链接]

该用户从未签到

发表于 2015-10-8 06:39 | 显示全部楼层 |阅读模式 来自:江苏
我们一生中总会遇见各种各样复杂的公式,这些公式中掺杂着多个积分、微分、连乘、求和等数学符号,但实际上,世界的复杂性是建立在一些简单公式的基础上的。下面我们就来给大家介绍几个由《连线》杂志评选出的9大geek们应该了解的公式,如果记不住的的话也要纹在皮肤上!
7 p0 A8 X9 \/ b4 j: f0 t% i; j1. 最美的公式:欧拉恒等式

/gkimage/cq/9e/qq/cq9eqq.png

/gkimage/cq/9e/qq/cq9eqq.png
这个等式还叫做欧拉公式,它最先出现在由瑞士数学家莱昂哈德·欧拉出版的一本书中。人们认为它是数学里最令人着迷的一个公式,因为它将几何、代数和5个数学中最基础也是科学研究中最基本的符号—0,1,i,pi和e联系到了一起。
+ B. v- W# @8 ]' t( s( {) }理论物理学家理查德·费曼非常喜爱这个公式,他将其称之为“宝石”和“无与伦比”的公式,现代人则将它称之为“最美的公式”。* V9 h0 D& m9 [: P' n2 r* T6 L5 A
0 `$ Q$ ?6 m& ~3 E1 h' v
2. 描述宇宙的模型:弗里德曼方程

/gkimage/cq/7y/c2/cq7yc2.png

/gkimage/cq/7y/c2/cq7yc2.png
图中的两个弗里德曼方程源于爱因斯坦的广义相对论,它描述的是宇宙从炙热的大爆炸诞生之际,到冰冷的快速膨胀死亡期之间整个宇宙的模型。
9 q8 X" t" a; K& {7 r9 h% V这个公式中有一个名为宇宙学常数的奇怪符号Λ,它最早由爱因斯坦引进,由于当时认识的局限性,爱因斯坦认为宇宙应该是静止的, 所以他引入宇宙常数作为排斥力来抵消重力,从而保持整个宇宙处于恒久不变的静态。但随后的观测显示,宇宙实际上是膨胀的。在得知哈勃的“宇宙在膨胀”理论后,爱因斯坦承认,在研究中加入宇宙学常数是他犯下的最大错误。而最近的一些研究则为爱因斯坦进行了辩护,因为研究显示存在一种未知的名为暗能量的神秘力量正在加速宇宙的膨胀,而这种力量则很有可能就来自宇宙常数的排斥力。! v+ r0 l0 S$ c  S/ j9 a
( ~& @$ C1 u' l9 y" S! h8 h
3. 熵:玻尔兹曼方程

/gkimage/2a/zw/6k/2azw6k.png

/gkimage/2a/zw/6k/2azw6k.png
奥地利物理学家路德维希·玻尔兹曼提出了著名的熵方程 S=k*logW 并为熵打下了统计学上的基础,玻耳兹曼熵方程贡献极大,以至于物理学家马克斯.普朗克建议,这个方程应该被铭刻在玻耳兹曼位于维也纳的墓碑上(上图所示)。2 D8 }, q9 D8 C* K
方程紧密描述了熵(S)和系统中无数粒子间(k*logW)的关系,其中,k是玻耳兹曼常数,W是热力学几率,描述的是一个系统中的微观状态数。
6 }5 T" g& M- M4 V( j1 E5 r1 w) r+ @- N+ u9 O! F6 X& \
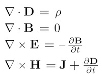
4. 电磁学:麦克斯韦方程组

/gkimage/qh/ps/nk/qhpsnk.png

/gkimage/qh/ps/nk/qhpsnk.png
詹姆斯·克拉克·麦克斯韦在1861年最先写出了这个方程组,它描述了所有已知的电场和磁场的行为和关系,如一个移动的电荷会产生一个电磁场而一个移动的电磁场也会产生一个电场。
; C7 {8 M5 |+ a方程组中的第二个方程是磁场中的高斯定理,它描述的电场和磁场中存在的巨大差异,电流会以单独的电荷存在,如电池中的正电子和负电子,而磁铁则总是成双成对的,你永远无法得到一个没有N极的S极。但近期的一些物理模型认为宇宙中存在少数只有单极的磁铁(磁单极子),一些实验已经在开始证明它的存在了。7 l* \4 h' |; ]( ?) b, V1 D

/gkimage/2a/x4/93/2ax493.png

/gkimage/2a/x4/93/2ax493.png
Z machine,位于美国山迪亚国家实验室世界上最大的X射线发射器  T5 h7 O4 d' J

. O9 e; Q0 E8 y$ c+ i2 U5. 不确定性:薛定谔方程

/gkimage/gt/eb/dj/gtebdj.png

/gkimage/gt/eb/dj/gtebdj.png
奥地利物理学家欧文·薛定谔著名的薛定谔方程是宇宙中微观粒子的基本方程,它阐述了在势场的作用下,亚原子微粒是如何随着时间变化的。量子力学中描述微小颗粒采用的方法是波函数,其中,原子和粒子的波函数可以描述它们何时何地出现的概率。
1 `3 b" m+ @; i( I+ B但是,在量子力学创立初期,物理学家们对如何解读薛定谔方程中的波函数起了争执。一些人认为波函数不存在真实的物理意义,它仅仅是一个有用的计算工具;其他人则认为,波函数表明我们是无法完全认识宇宙的。还有人认为,我们在测量粒子之前,只有波函数知道电子在空间的概率,而一旦我们测出了,该电子的波函数就会在测量的瞬间坍缩,但是薛定谔并不同意“粒子一旦测量了波函数就会坍缩”的解读,他著名的薛定谔猫实验则就是为了证明这种解读是存在不足的。
9 r. s2 r' D' b' {

/gkimage/m2/wo/qk/m2woqk.png

/gkimage/m2/wo/qk/m2woqk.png
在氢泡室中亚原子粒子的鬼魅路径6 ~. S" ]; p, l
! y% y: O- w  D! r# x! q
6. 生命就是一座岛:岛屿生态地理学

/gkimage/o5/5c/t7/o55ct7.png

/gkimage/o5/5c/t7/o55ct7.png
尽管物理学家们可以从不同角度阐述宇宙的膨胀,但是对地球上最基本的生命,我们却很难为此量化。在20世纪后期,生物学家总结出了岛屿生态地理学理论,这个理论描述的是岛屿中动物种群的动态平衡。* K7 ~: I' j" ?, O
公式左边是给定岛屿能够支撑的动物物种数,公式右边是动物丰度、有效面积和迁入迁出的比例。这个理论并不局限与海中于世隔绝的岛屿,它尤其适用于那些被人类活动孤立的生态系统。几乎所有的物种都生存在由人类定义的除了两极以外的岛屿中,而最大的岛屿毫无疑问就是我们的地球了。! u; ]- v7 {7 E! n6 m- E1 I

/gkimage/rg/x6/xk/rgx6xk.png

/gkimage/rg/x6/xk/rgx6xk.png
阿肯色州的Cache河保护区,在这片被孤立的湿地里常有人报道说看到灭绝的象牙喙啄木鸟1 I1 o( w# Z4 J4 ]3 V
: O$ J% ]5 z2 c( u
7. 演化的本质:诺瓦克的可演化性

/gkimage/bl/7a/go/bl7ago.png

/gkimage/bl/7a/go/bl7ago.png
从最本质的层面来说,生命就是不断的自我复制,那么,生命是如何开始的呢?这有点像终极版的先有鸡还是先有蛋难题,很难得出确切答案。哈佛大学数学家和生物学家马丁·诺瓦克一直致力与将生命的起源问题简化成最简单的化学系统,以便用数学公式来描述,可演化性公式就是他的成果之一。
! [+ ]% h) ]0 h. X  N3 T* N5 w公式左边代表的是分子所有可能的字符串(因为他用0和1来表示最早期生命的化学组件),公式右边是化学反应的速度、形成短串概率大于长串的倾向、进化中的选择压力和适应等级。如诺瓦克所示,若想要出现生命,分子必须经过自然选择和突变的过程。如果能够满足这些情况,那么自我复制这个过程就会顺理成章的出现了。; y- F7 u& p9 X4 \# N& y/ Z% a

/gkimage/nk/ms/hz/nkmshz.png

/gkimage/nk/ms/hz/nkmshz.png
加里福利亚莫诺湖的日出场景,莫诺湖是一个酷热、缺氧、富砷的湖泊,科学家们认为这很像早期的地球
. V9 p' P0 Q. m; {: N* ]& R  s! x" u! K7 c& l# ^$ @; Q
8. 疾病爆发的边界:基本传染数R?

/gkimage/uq/x1/tc/uqx1tc.png

/gkimage/uq/x1/tc/uqx1tc.png
这是一个非常简单明了的公式,它代表的是一个染病的人会将疾病传染给其他多少个人的平均人数。若这个数值小于1,那么这种病会逐渐消失;若它大于1,则疾病就会开始传播,值越大,疾病越难得到控制。
) Y- s' j( S. w. q+ N1 o: {% y# I2 U% W. s7 u' o+ o
9. 性不性感:美貌的数学公式(未公开发表)

/gkimage/l3/r4/gp/l3r4gp.png

/gkimage/l3/r4/gp/l3r4gp.png
不是所有事物都可以量化的,尤其是你想量化人心或者思想的时候,你根本无从下手。数十年来,物理学家和生物学家一直在尝试用数学公式来表征人类的相貌,可惜的是,即使测试了数百人对相貌的喜好偏向后,出现了一些共有的偏好,但情人眼里出西施,人们还是无法预测个体对美貌的偏好。
1 P% I6 i. C" z4 D/ G# h$ G- ]一位以色列计算机科学家用程序来量化脸部的吸引力后,得出了这个未公开发表的公式。公式左边的y是由经验得出的相貌得分,公式右边是使用多种测量方法测得与平均面孔对比的差异程度。虽说这个程序编写的十分巧妙,但是它运行地不是很顺利。7 e/ T8 L8 ^5 n4 O* g! V

/gkimage/no/uz/qq/nouzqq.png

/gkimage/no/uz/qq/nouzqq.png

# h# ~6 ^6 R8 c: E( i编译自:wired网站11月4日原文:请看这里图片:via wired
! B8 W# @2 {5 Y. b! q相关阅读: 死理性派教你如何假装知道这些公式南通0
匿名
发表于 2015-10-8 06:45 | 显示全部楼层 来自:江苏
提示: 作者被禁止或删除 内容自动屏蔽
回复 支持 反对

使用道具 举报

匿名
发表于 2015-10-8 07:09 | 显示全部楼层 来自:江苏
提示: 作者被禁止或删除 内容自动屏蔽
回复 支持 反对

使用道具 举报

匿名
发表于 2015-10-8 07:36 | 显示全部楼层 来自:江苏
提示: 作者被禁止或删除 内容自动屏蔽
回复 支持 反对

使用道具 举报

匿名
发表于 2015-10-8 08:01 | 显示全部楼层 来自:江苏
提示: 作者被禁止或删除 内容自动屏蔽
回复 支持 反对

使用道具 举报

匿名
发表于 2015-10-8 08:29 | 显示全部楼层 来自:江苏
提示: 作者被禁止或删除 内容自动屏蔽
回复 支持 反对

使用道具 举报

匿名
发表于 2015-10-8 08:48 | 显示全部楼层 来自:江苏
提示: 作者被禁止或删除 内容自动屏蔽
回复 支持 反对

使用道具 举报

匿名
发表于 2015-10-8 09:11 | 显示全部楼层 来自:江苏
提示: 作者被禁止或删除 内容自动屏蔽
回复 支持 反对

使用道具 举报

匿名
发表于 2015-10-8 09:36 | 显示全部楼层 来自:江苏
提示: 作者被禁止或删除 内容自动屏蔽
回复 支持 反对

使用道具 举报

匿名
发表于 2015-10-8 10:00 | 显示全部楼层 来自:江苏
提示: 作者被禁止或删除 内容自动屏蔽
回复 支持 反对

使用道具 举报

匿名
发表于 2015-10-8 10:25 | 显示全部楼层 来自:江苏
提示: 作者被禁止或删除 内容自动屏蔽
回复 支持 反对

使用道具 举报

  • TA的每日心情
    开心
    2014-5-4 09:19
  • 签到天数: 1 天

    [LV.1]初来乍到

    发表于 2015-10-8 10:54 | 显示全部楼层 来自:江苏
    啊,第一个图,看着真疼啊……啊,为什么最近看到都是疼得要命的图啊,手上倒刺什么的
    回复 支持 反对

    使用道具 举报

    匿名
    发表于 2015-10-8 11:22 | 显示全部楼层 来自:江苏
    提示: 作者被禁止或删除 内容自动屏蔽
    回复 支持 反对

    使用道具 举报

    匿名
    发表于 2015-10-8 11:45 | 显示全部楼层 来自:江苏
    提示: 作者被禁止或删除 内容自动屏蔽
    回复 支持 反对

    使用道具 举报

    匿名
    发表于 2015-10-8 12:15 | 显示全部楼层 来自:江苏
    提示: 作者被禁止或删除 内容自动屏蔽
    回复 支持 反对

    使用道具 举报

    匿名
    发表于 2015-10-8 12:43 | 显示全部楼层 来自:江苏
    提示: 作者被禁止或删除 内容自动屏蔽
    回复 支持 反对

    使用道具 举报

    匿名
    发表于 2015-10-8 13:06 | 显示全部楼层 来自:江苏
    提示: 作者被禁止或删除 内容自动屏蔽
    回复 支持 反对

    使用道具 举报

    匿名
    发表于 2015-10-8 13:24 | 显示全部楼层 来自:江苏
    提示: 作者被禁止或删除 内容自动屏蔽
    回复 支持 反对

    使用道具 举报

    匿名
    发表于 2015-10-8 13:45 | 显示全部楼层 来自:江苏
    提示: 作者被禁止或删除 内容自动屏蔽
    回复 支持 反对

    使用道具 举报

    匿名
    发表于 2015-10-8 14:12 | 显示全部楼层 来自:江苏
    提示: 作者被禁止或删除 内容自动屏蔽
    回复 支持 反对

    使用道具 举报

    匿名
    发表于 2015-10-8 14:39 | 显示全部楼层 来自:江苏
    提示: 作者被禁止或删除 内容自动屏蔽
    回复 支持 反对

    使用道具 举报

    匿名
    发表于 2015-10-8 15:03 | 显示全部楼层 来自:江苏
    提示: 作者被禁止或删除 内容自动屏蔽
    回复 支持 反对

    使用道具 举报

    匿名
    发表于 2015-10-8 15:19 | 显示全部楼层 来自:江苏
    提示: 作者被禁止或删除 内容自动屏蔽
    回复 支持 反对

    使用道具 举报

    匿名
    发表于 2015-10-8 15:40 | 显示全部楼层 来自:江苏
    提示: 作者被禁止或删除 内容自动屏蔽
    回复 支持 反对

    使用道具 举报

    您需要登录后才可以回帖 登录 | 注册

    本版积分规则

    手机版|无图版|站务联系 | 商务合作 | 平台公约

    信息产业部备案:苏ICP备05014191号-1 经营性ICP许可证:苏B2-20110445 苏公网安备 32060202000307号 © 2001-2019 0513.org All Right Reserved.

    投诉争议 技术支持:第一互联 GMT+8, 2025-12-18 05:44 , Processed in 0.226068 second(s), 15 queries , MemCache On. 站点统计

    快速回复 返回顶部 返回列表