濠滨论坛

点击扫描二维码

楼主: 古米

寻顾氏家谱(顾家高桥,碧堂庙,善庆堂的)

  [复制链接]

该用户从未签到

发表于 2013-9-17 14:58 | 显示全部楼层 来自:江苏

磐非贤磐?
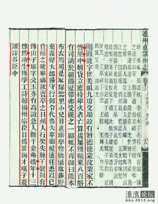
      《通州志·顾磐传》云,“顾磐,字子安,一字安国。高祖以来世称长厚,至父能起家称闾右。母徐祷东岳生磐,磐甚颖异,未期即能展书,三岁识字,七岁作文,九岁选入州学,十二考食廪。升学生前后,督学使者至,必褒然居首……遂中应天试”。“磐名大噪于公卿间。谓当秉用,昭代称伟人。乃复屡困公车,意落落不自得。母氏谓,儿生奇文雅自负当终显奈何不与计吏偕,于是强之北上至潞河竟客死君子。”说顾磐的父亲叫顾能,母为徐氏,磐应天中举后,屡困科场,客死于北上应考的途中。
吕四野鹤《明故通州孝廉顾公子安先生传》云:“公顾氏,讳磐(金沙善庆堂《顾氏族谱》上载顾公讳贤磐),乡尊子安先生,世居吴郡。元末红巾倡乱,公之先祖远徙于通,日耕暮诵,诗礼传家,怀贞践素,代有隐德,遂成巍然大族。父克辉,国学生,外砻圭角。母高孺人……正德八年(1513年)癸酉,应江南乡试,学官兴化杨公阅其文,叹曰‘南国隽佳士矣’。遂取中式二十四名举人。”“嘉靖七年(公元1528年),公无疾而终,时戊子年八月二十日,年六十有二。其生以成化二年(1466)九月二十二日”说(贤)磐的父亲叫顾克辉,母为高氏,顾磐于嘉靖七年无疾而终。两传的人物事迹是一模一样的。为持母为高氏之说,吕四野鹤认为《通州志·顾磐传》“母徐祷东岳生磐”是说母常常祷告州东岳庙而生磐。
    其实,磐非贤磐,二磐均为邑中名人,事迹自然各不相同。
南京艺术学院艺术学研究所硕士生李月云,对《(明名人为顾太夫人寿册)考论》,发现顾磐撰《海涯集》亲载顾能年七十九卒,生于正统九年(1444年),卒于嘉靖元年(1522年),生子四人,老大顾磐和老二顾山皆徐氏所生,老三顾岩老四顾碧为宋氏所生,即顾能子四:磐、山、岩、碧。
《海涯集》.jpg
      顾磐撰《海涯集》书页

发现当时参加通州顾氏之妇百岁寿辰的文征明在《(明名人为顾太夫人寿册·人瑞颂》里写道,“顾滔氏之祖母徐夫人”系海陵名族,“归顾氏为旌表义氏讳能(通州志为顾能列的是义行传)之配。生子磐绩学明经领荐为乡魁,孙滔继逰上庠进升国学再世以文学行义著称于时。”
《人瑞颂》1.1.jpg
      [明]文征明的《人瑞颂》第一页

考论的结果是,顾太夫人姓徐,海陵名门之女,嫁通州顾能为妻。顾能(14441522),字世美,号竹居,因此顾磐以《先公竹居府君行状》记载父德。顾能年七十九卒,与徐氏育有二子二女。长子即顾磐(14791535),字子安,初字安国,别号海涯。正德癸酉(1513年),顾磐应天乡试中举,以顾磐的才华和学问,高中进士乃在意料之中,然七试不售,竟殁于赴试途中。其子顾滔以文学行义著称于时。表明顾磐的父亲叫顾能,母为徐氏,顾磐殁于赴试途中等情况与州志所记一致。
值得一提的,从州志上可以知道有“勋名第一顾尚书”之誉的顾养谦是顾能的曾孙、顾山的孙子、顾瑶之子;而曾任山东掖县主簿的顾守元,则是顾能的曾孙、顾磐的孙子、顾滔之子。
      有一点吕四野鹤先生无疑是对的,那就是金沙善庆堂之顾(贤)磐世居金沙场。而顾能之子顾磐则世居通州城,按顾养谦家住通州城西柳家巷古郡庙附近(今南通书城北边)推测,此前顾磐亦居住于此,顾磐在通州城西门外铁钱河畔建铁渠书院后,一直居住于通州铁渠书院。
9.2.jpg
顾能之子顾磐生于明成化十五年(1479年),嘉靖十四年(1535年) 殁于赴试途中,生年56岁;生子滔。吕四野鹤《明故通州孝廉顾公子安先生传》以及金沙善庆堂《顾氏族谱》载,顾克辉之子顾贤磐生于明成化二年(1466年),于嘉靖七年(公元1528年) 无疾而终,子四:德相,德楷,德桥,德桐。二人生卒、年龄、子嗣与终了各不相同。
      事实表明,顾能子顾磐的生平事迹,见于《通州志·顾磐传》,而《金沙场志》关于顾磐的传说,以及吕四野鹤《明故通州孝廉顾公子安先生传》中的事迹则系误植。那位“父克辉,国学生,外砻圭角。母高孺人……”所生,在记叙中被简称为“磐”的顾公,全名顾贤磐,他的事迹则另见于金沙善庆堂《顾氏族谱·家训》:“讳贤磐子安,字时德,号前溪。最有才干力量,凡义所当为、分所得为者奋不顾身。”因江岸南坍,海沙北涨,煎亭场北移,而盐课司仍在原来的正场,造成诸多不便,在贤磐首倡推动下,盐课司得以迁场,并成为新的集市。
贤磐.jpg
    结合金沙善庆堂《顾氏族谱》图谱,顾公有可能讳子安,又名贤磐,字时德,号前溪,亦或“子安”系修谱人误植。 DSC_0086-1.jpg







回复 支持 反对

使用道具 举报

匿名
发表于 2013-9-17 15:40 | 显示全部楼层 来自:江苏
提示: 作者被禁止或删除 内容自动屏蔽
回复 支持 反对

使用道具 举报

匿名
发表于 2013-10-14 09:52 | 显示全部楼层 来自:江苏 联通
提示: 作者被禁止或删除 内容自动屏蔽
回复 支持 反对

使用道具 举报

匿名
发表于 2013-10-14 09:52 | 显示全部楼层 来自:江苏 联通
提示: 作者被禁止或删除 内容自动屏蔽
回复 支持 反对

使用道具 举报

匿名
发表于 2013-10-14 09:52 | 显示全部楼层 来自:江苏 联通
提示: 作者被禁止或删除 内容自动屏蔽
回复 支持 反对

使用道具 举报

匿名
发表于 2013-10-14 15:42 | 显示全部楼层 来自:江苏
提示: 作者被禁止或删除 内容自动屏蔽
回复 支持 反对

使用道具 举报

匿名
发表于 2013-10-15 16:27 | 显示全部楼层 来自:江苏
提示: 作者被禁止或删除 内容自动屏蔽
回复 支持 反对

使用道具 举报

匿名
发表于 2013-10-19 00:21 | 显示全部楼层 来自:北京
提示: 作者被禁止或删除 内容自动屏蔽
回复 支持 反对

使用道具 举报

匿名
发表于 2013-10-19 12:22 | 显示全部楼层 来自:江苏
提示: 作者被禁止或删除 内容自动屏蔽
回复 支持 反对

使用道具 举报

  • TA的每日心情
    开心
    2013-11-29 17:09
  • 签到天数: 1 天

    [LV.1]初来乍到

    发表于 2013-10-20 20:45 | 显示全部楼层 来自:江苏
    **** 作者被禁止或删除 内容自动屏蔽 ****

    我婆家也姓顾,住通州卞里庙,前段时间听老公说起小时候看到家里有家谱,后来起房子搬家弄丢了,他爷爷是生字辈,妈妈是承字辈
    回复 支持 反对

    使用道具 举报

    匿名
    发表于 2013-10-20 23:10 | 显示全部楼层 来自:江苏
    提示: 作者被禁止或删除 内容自动屏蔽
    回复 支持 反对

    使用道具 举报

    该用户从未签到

    发表于 2013-11-9 13:51 | 显示全部楼层 来自:江苏

    尹惟忠《序》与庆善堂《顾氏宗谱》的顾仁林无法合二而一

    仁林.jpg
                   善庆堂《顾氏宗谱·仁林传》
    尹序.gif
                   永乐癸未尹惟忠的《序》
      尹惟忠《序》与庆善堂《顾氏宗谱》的顾仁林无法合二而一。
      其一,永乐癸未(1403)年的尹惟忠《序》称,顾仁林“生则首倡修谱于前,没则身入孝子嗣于后”。按善庆堂《顾氏宗谱·仁林传》顾仁林于[明]丙辰(1376)年生,至永乐癸未,时年仅27岁,属英年早逝。这与谱传中“舌耕终老”的记述大相径庭。倘若顾仁林既如谱传所说“岳家殷富户,静扫书室,请公教诲妻之兄弟……舌耕终老”,又符合尹惟忠《序》有关生前与没后之说,仁林公当生于永乐癸未之前60年左右,即生于1337年前后,令人诧异的是,其与善庆堂《顾氏宗谱》的迁通始祖顾朴,生于元顺宗甲戍(1334)年相差无几。
      其二,海门县人尹惟忠生卒不详(指本人不了解),《通州志》载其为明建文二年(洪武三十三年,公元1400年)进士,累官至正五品西安府同知,当时在旧县礼安乡为其建了进士坊。排除少年英才(志书上并未渲染)的可能,假定他25岁左右登科,则生于1376年前后,年龄与庆善堂《顾氏宗谱》仁林丙辰年(1376)年生记载完全一致,这就势必无法被身为县学训导的岳父尹平看中,请去为儿子尹惟忠做家教并招赘为婿。
      其三,善庆堂《顾氏宗谱》说,顾仁林“好诵诗书,英年入泮”,尹惟忠《序》说他“少年入泮,招赘予家”。英年入泮者只能是通州(金沙场)籍生员;而少年入泮者则是海门县(在市—即县城)籍生员,正因为此,仁林公才有机会与可能被海门县学的训导看中。
          其四,善庆堂《顾氏宗谱传》中的二世祖顾仁林,据称“娶海门居氏妙富”为妻;尹惟忠《序》中的姐夫顾(按赘婚男子改从妻姓的习俗,当姓尹)仁林,招赘尹家,其妻自然是尹氏而非居氏。
      另,善庆堂《顾氏宗谱》于明万历二十八年(1600年),由八世祖应璜、应祯等首修。尹惟忠《序》写于此前二百年的明永乐元年—癸未(1403)年,所以尹《序》决不可能是为善庆堂《顾氏宗谱》所写之序,只能是明朝永乐年间顾仁林生前首倡的《顾氏宗谱》序,或是被善庆堂《顾氏宗谱》的编撰者发现并收入谱中代为序,也可能是姐夫顾仁林死后,眷弟尹惟忠写下的怀念文章—人物叙(序),或是顾仁林生前首倡的《尹氏宗谱》的序。

    回复 支持 反对

    使用道具 举报

    该用户从未签到

    发表于 2013-11-9 13:56 | 显示全部楼层 来自:江苏

    仁林.jpg
                   善庆堂《顾氏宗谱·仁林传》
                   永乐癸未尹惟忠《序》


    尹.gif
    回复 支持 反对

    使用道具 举报

    该用户从未签到

    发表于 2014-1-13 16:06 | 显示全部楼层 来自:江苏
           庆善堂《顾氏宗谱》的迁通二世祖顾仁林不是通州(金沙场)人

          我先前发贴认为“尹惟忠《序》与庆善堂《顾氏宗谱》的顾仁林无法合二而一”,原因是,善庆堂《顾氏宗谱》说,顾仁林“好诵诗书,英年入泮”,尹惟忠《序》说他“少年入泮,招赘予家”。 英年入泮者只能是通州(金沙场)籍生员;而少年入泮并被海门县学的训导尹平看中者只能是海门县在市(即县城)籍生员。
          为此我和南通图书馆古籍部预约,获准详尽查阅了《通庠题名录》。对从明代洪武年至清代道光三十年的入泮生员名单,按年份进行了逐个摘录登记。按善庆堂《顾氏宗谱·仁林传》载,顾仁林(号亲肆)生于[明]丙辰年,即明洪武九年(1376),英年入泮,于永乐五年(1407)生子江宽(字普名),时年三十二岁。而《通庠题名录》载,从明洪武至成化年入泮的顾姓生员,只有顾岩、顾尚思、顾祥、顾睿、顾平、顾璇、顾遂、顾雄和顾德泽九人。在此后年代里,仅发现万历三十一年的顾姓生员中,有善庆堂《顾氏宗谱》中的顾之璞一人。如此看来,善庆堂《顾氏宗谱》中的顾仁林,不是通州(金沙场)籍生员无疑

    回复 支持 反对

    使用道具 举报

    匿名
    发表于 2014-1-18 17:01 | 显示全部楼层 来自:江苏
    提示: 作者被禁止或删除 内容自动屏蔽
    回复 支持 反对

    使用道具 举报

    匿名
    发表于 2014-1-19 16:00 | 显示全部楼层 来自:江苏
    提示: 作者被禁止或删除 内容自动屏蔽
    回复 支持 反对

    使用道具 举报

    该用户从未签到

    发表于 2014-1-19 17:41 | 显示全部楼层 来自:江苏
    爷爷 xi 辈
    回复 支持 反对

    使用道具 举报

    匿名
    发表于 2014-1-19 18:07 | 显示全部楼层 来自:江苏
    提示: 作者被禁止或删除 内容自动屏蔽
    回复 支持 反对

    使用道具 举报

    您需要登录后才可以回帖 登录 | 注册

    本版积分规则

    手机版|无图版|站务联系 | 商务合作 | 平台公约

    信息产业部备案:苏ICP备05014191号-1 经营性ICP许可证:苏B2-20110445 苏公网安备 32060202000307号 © 2001-2019 0513.org All Right Reserved.

    投诉争议 技术支持:第一互联 GMT+8, 2025-12-25 20:56 , Processed in 0.205393 second(s), 26 queries , MemCache On. 站点统计

    快速回复 返回顶部 返回列表