濠滨论坛

点击扫描二维码

查看: 1445|回复: 0

99年前的夏天栟茶濮氏家族的“祠堂”竣工:19世孙“濮显纪”写文章记述

[复制链接]

该用户从未签到

发表于 2020-10-8 16:43 来自AppWap版 | 显示全部楼层 |阅读模式 来自:江苏
99年前的夏天栟茶濮氏家族的“祠堂”竣工:19世孙“濮显纪”写文章记述

沈小洪2020.10.8整理

摘自民国栟茶《濮氏宗谱》

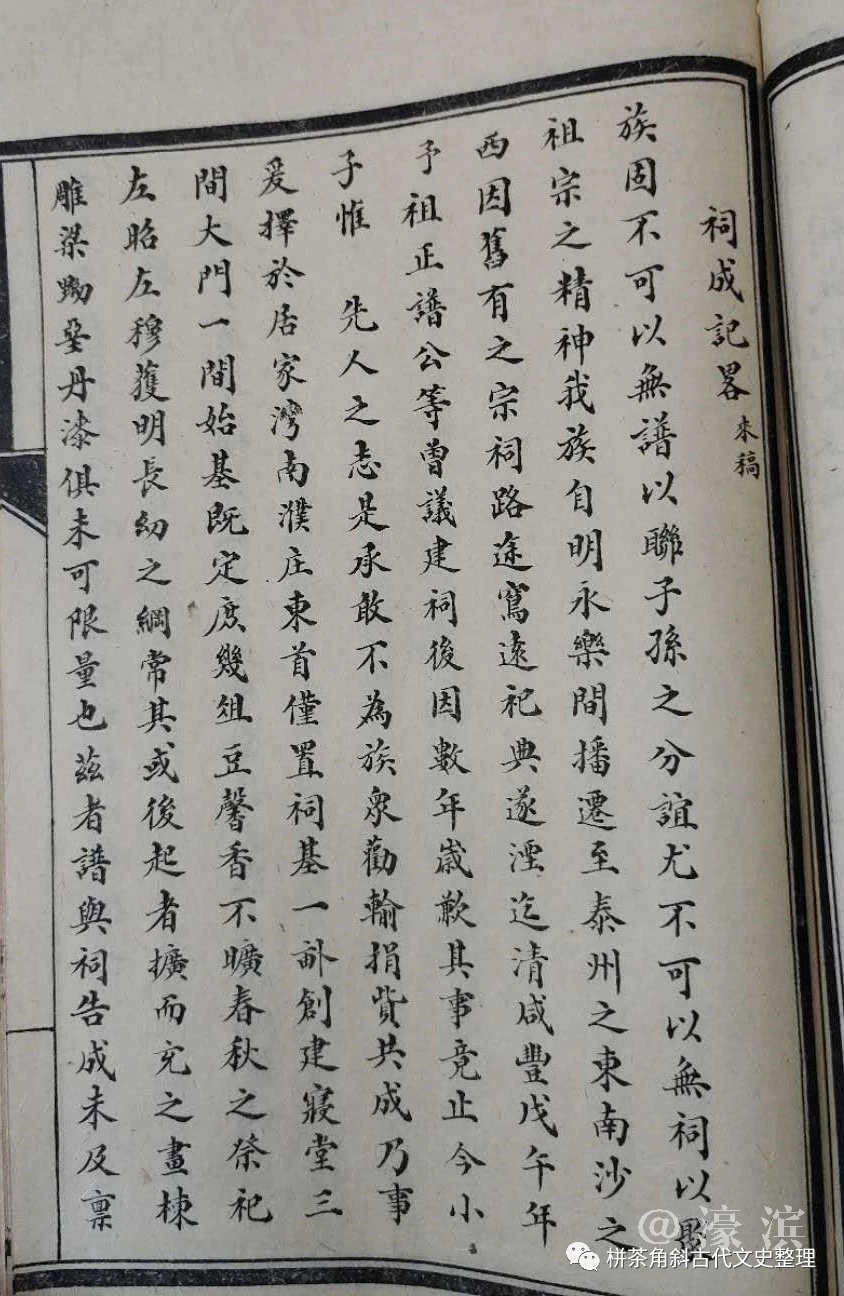
祠成记略(来稿)

族固不可以无谱,以联子孙之分谊【情分、友谊】;尤不可以无祠,以聚祖宗之精神。我族自明永乐间【公元1403年-1424年】播迁【迁徙、流离】至泰州之东南沙【栟茶的雅称】之西,因旧有之宗祠【濮氏家族从苏州迁到栟茶西部,原来的祠堂应该还在苏州】路途窎远【距离遥远】,祠典遂湮【有关祭祀的制度逐渐荒废、淡忘】。迄清咸丰戊午年【到公元1858年】,予祖正谱公【我的祖父濮正谱先生,“我”指本文作者,濮显纪,字文江】等曾议建祠,后因数年岁歉【庄稼收成不好,比如同治三年即公元1864年栟茶大旱】,其事竟止【最终没有修成祠堂】。

今小子【晚辈对尊长的自称】惟先人【原文先人之前空一个字表示尊敬】之志是承【一心想着继承先人的志向】,敢不【哪敢不】为族众【广大族人】劝输【劝说鼓励他人捐款】捐资,共成乃事【一起完成此事】?爰【于是】择于居家湾【位于栟茶场盐港口和范家浅之间的运盐河两岸,今分别属于如东袁庄和海安角斜】南濮家庄东首【东侧、东边】,仅置祠基【祠堂宅基地】一亩【这和嘉庆年间栟茶顾氏宗祠宅基地面积一样】,创建寝堂【指帝王陵墓的正殿,或大家族祖先祭祀的堂屋】三间、大门一间。始基【开创的基业】既定,庶几【应该、但愿】俎豆【祭祀的礼器】馨香【指用作祭品的黍稷】,不旷【不荒废】春秋之祭祀;左昭右穆,获明【得以知道】长幼之纲常。其或【表示假设,犹倘若、假使】后起者【后来出现或新成长的人,濮氏家族后人】扩而充之,画栋雕梁【指有彩绘装饰的十分华丽的房屋】,黝垩【涂以黑色和白色】丹漆【朱红色的漆】,俱未可限量【限量指限定止境、数量,形容前程远大】也。

兹者【现在】谱与祠告成,未及禀县【禀报东台县衙门,此地属于东台县栟茶场】立案【备案】,行将【即将】赴县请示,勒石【刻字于石,亦指立碑】于祠,以垂【留传】后世。

时民国辛酉年【公元1921年】榴月【指农历五月,“五月榴花照眼明”,五月是石榴花盛开时节】榖旦【良晨,晴朗美好的日子,旧时常用为吉日的代称】,十九世裔孙文江氏显纪谨志【恭敬谨慎地记述】。

备注:栟茶濮氏字辈为:“彦添华汉宇,爱君承祖德。有生宜学志,日正祥显一。存宗尊善本,乃可绍先良。宝训常铭佩,延传家自昌。”这实际上是一首40个字的诗,大概意思是:“为朝廷培养出优秀人才,忠君爱国,祖先的功德一代代相传。活着的时候要立下远大的志向,这样才能得到上天一以贯之地赐给幸福。保存家族要多读好书,保护家谱,才能传承古代忠良之风。谆谆教导要铭记在心,不断传教下去,家族自然可以昌盛。”目前濮氏家族的老人到了宗字辈,也就是22世,以下没有按照字辈来取名。目前也有19世的族人,比如角斜镇周庄村人濮显高,从事婚姻介绍。洋口镇石屏小学教师李濮建也是濮氏家族一员,祖上从沿南迁到洋口农场。上世纪三十年代,栟茶西康庄小学校长为濮显道,该校在沿南街西,沿南街也俗称濮家桥。南通市政协原副主席濮宗康可能就是栟茶濮氏家族人。祖籍南京的著名演员濮存昕的字辈恰好属于栟茶濮氏家族字辈,“存”比“显”小两辈,比“宗”大一辈,不知道是否有关系。海安市大公镇畜牧兽医站濮存全,不知道是否有关系。另外看到不少叫濮中什么的、濮建什么的,可能“中”就是“忠”的讹误,“建”就是“显”的讹误。具体尚待考证。







南通0
您需要登录后才可以回帖 登录 | 注册

本版积分规则

手机版|无图版|站务联系 | 商务合作 | 平台公约

信息产业部备案:苏ICP备05014191号-1 经营性ICP许可证:苏B2-20110445 苏公网安备 32060202000307号 © 2001-2019 0513.org All Right Reserved.

投诉争议 技术支持:第一互联 GMT+8, 2025-12-30 01:40 , Processed in 0.173289 second(s), 14 queries , MemCache On. 站点统计

快速回复 返回顶部 返回列表