濠滨论坛

点击扫描二维码

查看: 22997|回复: 4

[新闻快讯] 全省联网高速公路全路网将启用区间测速设备

[复制链接]

该用户从未签到

发表于 2020-7-27 18:37 | 显示全部楼层 |阅读模式 来自:江苏
关于在全省联网高速公路

全路网启用区间测速设备的公告



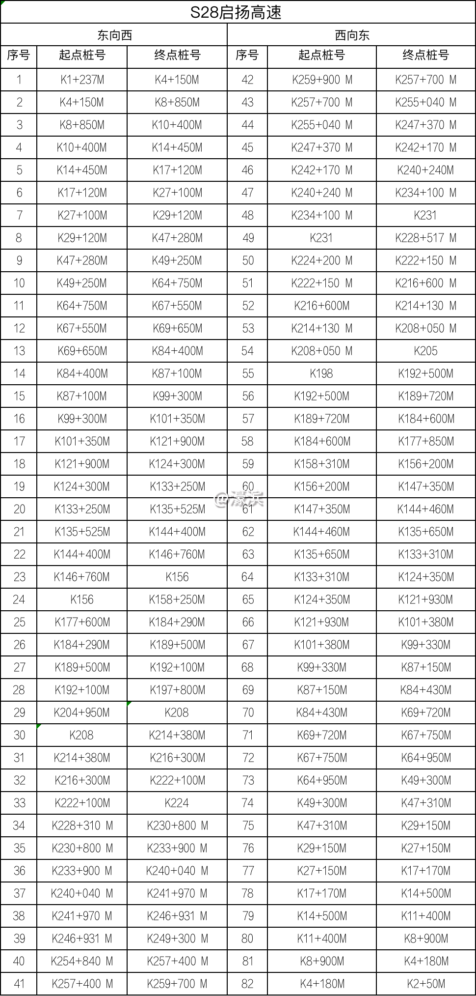
为进一步加强高速公路交通安全管理,规范行车秩序,预防和减少道路交通事故,根据《中华人民共和国道路交通安全法》和《中华人民共和国道路交通安全法实施条例》等法律法规规定,我省在全省联网高速公路全路网设置778套区间测速设备,现就区间测速设备设置的路段、位置进行公告(详见附表)。2020年8月1日起,将通过上述区间测速设备对机动车超过规定时速行驶、不按规定车道行驶,驾驶人接听拨打手持电话、未按规定使用安全带等交通安全违法行为进行抓拍处罚。

特此公告。
附件:全省联网高速公路启用区间测速设备位置表
江苏省公安厅交警总队
2020年7月27日

bff29d973ce1bc29ac3052af4166f2fb.jpg
99a030346f6d90d1e0bf2a70be9949ee.jpg
1e214f2d72d77c97836a15a9572db110.jpg
56d7c26879b4dab38230088b70779a94.jpg
7d5aa6a53e9313b4f774763e75cec1b6.jpg
06dcc9ffcf2936e23607ee98a27180d1.jpg
4c618406eb82b2b5a942b902a27b1b1b.jpg
ba31f9fe5aafaa8819eec579f965a4ce.jpg
6cd579a6a070267ea0bf72ac76a063ed.jpg
d24b1088aabf84f4f31f2a637a2fe8e3.jpg
e501780d479099cbd5c3610cae98681c.jpg
46df7e02a86844f04674ac3c46a6d994.jpg
d808db832928d07659653feaa1ec221f.jpg
18b201f805a46fb7af738fcf3057c4d1.jpg
66d9c6dae5f57631f00b7b1136f3f326.jpg
5863e30776a9dd9704ec435771e97038.jpg
1b5b36ad1d740980dac91f55f869776a.jpg
dbd57128dfd1a598cc4f5f55f54d7c7e.jpg
664d63d7ff0f5bd34d777028e5f11976.jpg
70a898751ab5599f8b12dd6f74162c06.jpg
f5216968ba06ca198abb91df8d1df192.jpg
df548b760a1f03d6bf7e0ea735892d80.jpg
903287eb397fb2e76f9698fd6d68e14b.jpg
bf91ed5474b78c17efc8f0fd66291109.jpg
46614c5458b68a102dc230e97dfb06ae.jpg
660bb70a398779b6d9f0589cb3879995.jpg
b0962684a2f84865b74461478fb4b841.jpg
a96613d5b171a980441aaf910f4c77c7.jpg
187983ca877d3eb8447a5fca6c27a1e9.jpg
93a6dd91acd36039632a3422ee173cda.jpg
05efd236e90cf796c226ca005c76d563.jpg

来源:江苏交警

南通0

该用户从未签到

发表于 2020-7-27 19:37 来自手机客户端 | 显示全部楼层 来自:江苏
国家没钱了?
回复 支持 8 反对 0

使用道具 举报

该用户从未签到

发表于 2020-7-28 08:06 来自手机客户端 | 显示全部楼层 来自:江苏 移动
这下牛了,测平均速度,临时减速的都不行了。
回复 支持 1 反对 0

使用道具 举报

该用户从未签到

发表于 2020-7-28 08:36 | 显示全部楼层 来自:江苏
是ETC龙门架吗…啧啧啧,果然  
回复 支持 反对

使用道具 举报

头像被屏蔽

该用户从未签到

发表于 2020-7-28 23:13 来自手机WAP | 显示全部楼层 来自:江苏
提示: 该帖被管理员或版主屏蔽
回复 支持 反对

使用道具 举报

您需要登录后才可以回帖 登录 | 注册

本版积分规则

手机版|无图版|站务联系 | 商务合作 | 平台公约

信息产业部备案:苏ICP备05014191号-1 经营性ICP许可证:苏B2-20110445 苏公网安备 32060202000307号 © 2001-2019 0513.org All Right Reserved.

投诉争议 技术支持:第一互联 GMT+8, 2025-12-18 23:08 , Processed in 0.189842 second(s), 13 queries , MemCache On. 站点统计

快速回复 返回顶部 返回列表