濠滨论坛

点击扫描二维码

查看: 3040|回复: 0

“僵尸股”频现:500只个股1月日均成交低于2000万元

[复制链接]

该用户从未签到

发表于 2018-2-2 10:54 | 显示全部楼层 |阅读模式 来自:北京
本周一(2018年1月29日)开始,A股一改2018年开年以来的大牛,掉头向下,不过成交量却在持续放大。
回顾1月份,沪深两市逾3400只个股的平均日均成交额达1.6亿元,然而,却有500只个股日均成交量低于2000万元,接近总数的七分之一。这些个股均呈现出市值偏小、估值偏高的特点。
接受采访的业内人士均认为,市场正在形成“强者恒强、弱者恒弱”的局面,这种分化的行情未来将持续。
500只个股1月份日均成交量低于2000万元
自2017年以来,A股表现出明显的分化特征,蓝筹白马股在资金追捧下持续性上涨的同时,小盘股表现低迷,部分个股甚至遭到资金遗弃,低成交个股数量不断增多。
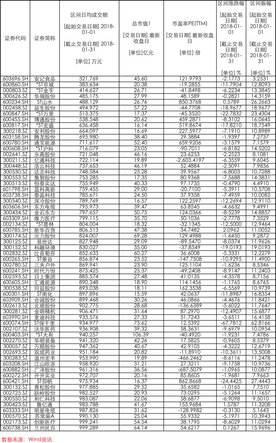
以2018年1月为例,澎湃新闻记者通过Wind资讯统计发现,剔除2018年后上市的次新股以及停牌的公司外,500家公司2018年1月的日成交额均低于2000万元,其中61家公司低于1000万元。
安记食品(603696)、*ST京城(600860)、*ST金宇(000803)、华瑞股份(300626)、ST山水(600234)以及益生股份(002458)这6只个股的区间日均成交额甚至在500万元以下。
从特征上来看,这些“僵尸股”(指成交量稀少的股票)呈现出市值偏小、估值偏高的特点。
市值方面,上述500只2018年1月的日成交额均低于2000万元的个股中,市值位于0-50亿元的股票有422只,位于50亿-100亿元的股票有64只,位于100亿-200亿元的股票有10只,市值高于200亿元的股票仅有4只,市值位于0-50亿元的股票占比84.4%。由此可见,低成交量个股普遍市值偏小。
从估值上看,剔除估值为负的股票,估值位于0-10倍的股票仅有3只,位于10-20倍的股票有21只,位于20-30倍的股票有70只,大于30倍的股票则有324只,占比64.8%。
此外,值得关注的是,61家2018年1月的日成交额均低于1000万元的公司中,仅有4家收涨,且最高涨幅仅2.09%。

“僵尸股”频现:500只个股1月日均成交低于2000万元

“僵尸股”频现:500只个股1月日均成交低于2000万元
61只个股2018年1月的日成交额均低于1000万元
这种现象从2017年下半年就有迹象显现。
海通证券的统计显示,日成交额低于1000万元的个股数量在2017年9-12月的月均数量分别为42只、63只、116只、279只,日成交额在1000万元至2000万元之间的个股数量在2017年9月至12月的月均数量分别为218只、293只、431只、604只。
总体趋势上看,2017年9月以来全部A股中日成交额在2000万元以下的个股数量开始增加,11月随着市场下跌调整,低成交个股数量增速加快,截至2017年12月底,低成交个股不断增加的趋势依旧十分明显。
某私募人士分析认为,低成交个股数量迅速增加,反映了部分个股的流动性问题。“今天(2月1日)很多股票在闪崩前,日均成交已相对低迷,因此很少的卖单便快速砸到跌停。”
安记食品日均成交仅322万元
剔除连续封板的新股外,2018年初至今,安记食品沦为正常交易的“僵尸股”之首。
2018年1月共22个交易日,安记食品日均成交额仅有322万元,区间振幅仅3.25%,区间股价下跌2.18%,几乎是乏人问津。1月5日,安记食品更创下全日成交142.7万元,换手率0.11%,2018年以来全市场交易金额新低。
2015年上市的安记食品是一家一直专注于调味品的研发、生产和销售的公司,主要产品包括复合调味粉、天然提取物调味料、香辛料、酱类、风味清汤等五大类。
去年10月安记食品披露的三季报显示,公司去年1-9月营业收入1.82亿元,同比下降2.69%;净利润2629.76万元,同比下降11.49%。安记食品近年业绩不断下滑。翻阅安记食品近三年财务数据,2014-2016年,安记食品营收分别约为2.79亿、2.66亿和2.59亿,净利润分别约为5657万、5316万及4080万,两组数据双双下滑。
安记食品也符合市值偏小、估值偏高的“僵尸股”特点。截至最新收盘日,该股总市值仅45.6亿,而动态市盈率高达122倍。
从历史上看,如此低迷的交易额是近期才出现的新情况。
海通证券回顾2005年至今历年市场股票的成交额表现,剔除每个月上市的新股后,2017年之前A股的月均低成交个股数量在340只左右波动。
但是,2017年以来低成交个股数量不断攀升,12月接近800只,是2017年前低成交个股均值的两倍有余。
“历史上在2010年虽然也出现过低成交个股数量上升的现象,但从涨幅亦或是增速上相比,此次低成交个股数量剧增的特征和趋势更突出,是个新现象。”海通证券策略分析师荀玉根分析指出。

“僵尸股”频现:500只个股1月日均成交低于2000万元

“僵尸股”频现:500只个股1月日均成交低于2000万元
低迷的交易额是近期才出现的新情况
结构性分化或是诱因
“市场正在形成‘强者恒强、弱者恒弱’的局面。”一位私募人士对澎湃新闻记者表示,高估值、小市值的股票成交低迷、持续下跌,是市场情绪和资金风险偏好等的综合反映。
该人士指出,新股发行常态化,导致壳资源的价值大幅下降;同时,存量资金博弈,外资和机构的配置行为会选择确定性较强的标的,即低估值、业绩较为稳定的龙头企业。
荀玉根也认为,低成交个股的估值高于市场的总体水平,而盈利低于市场的总体水平,盈利和估值的匹配度差异使得部分股票缺乏对投资者的吸引力。
“在业绩为王的市场风格之下,有限的存量资金流入了估值与盈利相匹配的白马蓝筹股,市场的选择使得部分股票出现流动性萎缩,成交额大幅下降甚至彻底遭到资金遗弃。”他说。
此外,机构投资持股占比提高强化了龙头股效应,市场更在意基本面,主题炒作及炒小炒新风气逐渐变淡。盈利估值匹配度较差的个股缺乏增量资金流入,出现流动性结构萎缩。
荀玉根同时指出,随着A股机构投资者占比不断增加,市场趋于成熟,中长期A股市场可能出现类似于港股成交额分化的趋势,低成交个股不断涌现或成常态。
私募基金世诚投资分析表示,在2018年,大小市值股价表现分化会收敛而不会逆转,主要原因是市场的结构性行情在边际上是由增量资金决定的,而将来后者主要来自于机构投资者。 “二八”格局中,基本面预期过高抑或估值已经透支的个股走势将面临休整,只有未来能持续兑现预期且当前估值与基本面仍属匹配的品种才有持续表现机会。南通0
您需要登录后才可以回帖 登录 | 注册

本版积分规则

手机版|无图版|站务联系 | 商务合作 | 平台公约

信息产业部备案:苏ICP备05014191号-1 经营性ICP许可证:苏B2-20110445 苏公网安备 32060202000307号 © 2001-2019 0513.org All Right Reserved.

投诉争议 技术支持:第一互联 GMT+8, 2025-12-20 08:47 , Processed in 1.183975 second(s), 17 queries , MemCache On. 站点统计

快速回复 返回顶部 返回列表