濠滨论坛

点击扫描二维码

查看: 6755|回复: 3

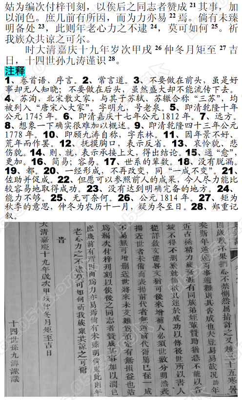
1814年冬顾东林为东台县栟茶场顾氏宗谱(五修本)作序

[复制链接]

该用户从未签到

发表于 2017-8-18 09:07 | 显示全部楼层 |阅读模式 来自:江苏
1814年冬顾东林为东台县栟茶场顾氏宗谱(五修本)作序
南通0
我的标准签名1.PNG
20170817-1814年冬顾东林为东台县栟茶场顾氏宗谱(五修本)作序11微信图片_20170817161304.PNG
20170817-1814年冬顾东林为东台县栟茶场顾氏宗谱(五修本)作序22微信图片_20170817161315.PNG

该用户从未签到

发表于 2017-8-18 09:16 | 显示全部楼层 来自:江苏
这也算是非遗文化了吧
回复 支持 反对

使用道具 举报

该用户从未签到

 楼主| 发表于 2017-8-18 09:18 | 显示全部楼层 来自:江苏
哈里路亚 发表于 2017-8-18 09:16
这也算是非遗文化了吧

老家谱发现了,不加以宣传推广,不能显示其价值
回复 支持 反对

使用道具 举报

匿名
发表于 2017-8-18 16:05 | 显示全部楼层 来自:上海
提示: 作者被禁止或删除 内容自动屏蔽
回复 支持 反对

使用道具 举报

您需要登录后才可以回帖 登录 | 注册

本版积分规则

手机版|无图版|站务联系 | 商务合作 | 平台公约

信息产业部备案:苏ICP备05014191号-1 经营性ICP许可证:苏B2-20110445 苏公网安备 32060202000307号 © 2001-2019 0513.org All Right Reserved.

投诉争议 技术支持:第一互联 GMT+8, 2025-12-25 21:33 , Processed in 0.187245 second(s), 18 queries , MemCache On. 站点统计

快速回复 返回顶部 返回列表