濠滨论坛

点击扫描二维码

查看: 2394|回复: 10

[科普] 酷炫动图(二十一):万圣节篇

[复制链接]

该用户从未签到

发表于 2015-10-31 19:41 | 显示全部楼层 |阅读模式 来自:北京
万圣节快乐!今天我们来欣赏一些很有万圣节范儿的化学实验吧。

% w* m6 t# |- L4 E6 c, P& a
例行警告:图多杀猫,没有连上Wi-Fi的手机党请迅速关闭此页面!
1 F  ~* X! o' N# f2 S* X
呕吐南瓜

酷炫动图(二十一):万圣节篇

酷炫动图(二十一):万圣节篇

" H3 l2 r& z3 u4 K
原理:不用多说,这其实还是我们的老朋友“大象牙膏”:双氧水与洗涤剂混合,在催化剂的作用下产生大量氧气和泡沫。碘化钾、酵母都是常用的催化剂。在万圣节的时候,把大象牙膏放进南瓜是一个常见玩法,它的效果也是格外魔性……

: o' |' @' n& v, ^
花絮:利用焰色反应,也可以让南瓜灯显示出魔性的绿火:

' Q- [! r2 G0 L, l

酷炫动图(二十一):万圣节篇

酷炫动图(二十一):万圣节篇
原视频来自:Anne Helmenstine
6 e0 W8 i  O  ?  g0 y
危险:中低。主要需要警惕的是过氧化氢的腐蚀性,戴好手套和护目镜是最保险的。

" g4 ?! b7 o/ W: Y: v$ W% W7 q
录制者:Maki(Ng) Science Fun!

  ^, A  }# d7 d# o血手印

酷炫动图(二十一):万圣节篇

酷炫动图(二十一):万圣节篇
' `) Q- R5 C6 S* B7 v
原理:这张黄色的纸是姜黄纸,而在实验者的手上事先喷上了碱性溶液。在碱性条件下,姜黄素会变成红色。

' i" i6 y: Y/ j: d" d
利用同样的方法还可以制作“隐藏文字”,只要先用白蜡烛或蜡笔在姜黄纸上书写,然后再喷碱性溶液,写过字的地方就会显现出来:
1 s$ n2 m2 v3 o* H, g0 {5 F

酷炫动图(二十一):万圣节篇

酷炫动图(二十一):万圣节篇

7 }+ j' J. q- q. `1 a, A# B2 N
花絮:在民间,姜黄加碱水变色曾经是巫师“做法”常用的一种把戏,比如在黄裱纸上用姜黄水写字晾干,再喷上碱水时就可以显示出吓人的“血字”。如果你看过科教片《巫师的骗术》,可能还会记得这些“法术”。

' r0 m9 {7 q0 s# ^+ e- ~

酷炫动图(二十一):万圣节篇

酷炫动图(二十一):万圣节篇
《巫师的骗术》中演示姜黄显色的片段。
+ `/ {" N# T& y* ?3 {
危险:很低。姜黄是一种可食用的香辛料,在家利用碱面、小苏打配制碱液也比较安全(当然,不要用强碱)。如果你想自己试试的话,这里可以看到一个自制姜黄纸的教程。
& Q8 Z& F! e  \/ f8 p
录制者:Sick Science!
2 o2 c& k* i5 l
黏黏史莱姆

酷炫动图(二十一):万圣节篇

酷炫动图(二十一):万圣节篇

8 B3 ?* Q- {: d% \) b/ s1 j+ [* \5 G
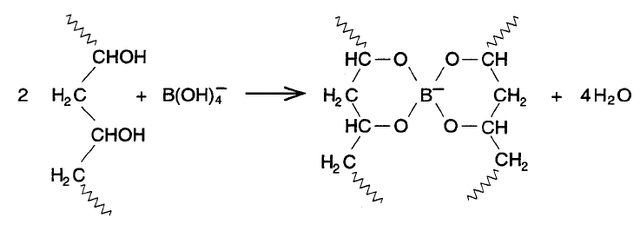
原理:烧杯里原本装的是聚乙烯醇(PVA)的水溶液(绿色是额外添加的色素),在进行实验时,要在其中加入硼砂溶液(四硼酸钠)并搅拌。在这里,硼砂起到了交联剂的作用,它把聚乙烯醇分子拉到一起形成网状,进而使它的性质发生改变,原本溶解状态的聚乙烯醇变成了胶状物。

; b2 d8 L. ~. z! Y

酷炫动图(二十一):万圣节篇

酷炫动图(二十一):万圣节篇
聚乙烯醇与硼酸根离子发生的反应
# T: _% d5 X% o0 E" R
花絮:还记得之前发过的聚乙烯醇袋子溶解在水中的动图吗?洗衣凝珠的包装膜材料就是它。

  _  S8 C' ]$ c% ?( @& b

酷炫动图(二十一):万圣节篇

酷炫动图(二十一):万圣节篇

6 E2 l0 r9 \' d3 U* I
危险:低。只要避免误食,该实验还是足够安全的。

/ u( p3 C& J! l
录制者:Carleton University
, V5 R9 G7 W( d$ l- f
咆哮蓝火

酷炫动图(二十一):万圣节篇

酷炫动图(二十一):万圣节篇

8 f) y. h- Q' g) O4 `
原理:这个反应的要点在于在长玻璃管中注入二硫化碳和一氧化二氮气体并点燃。该反应会产生蓝色的火焰,并产生类似咆哮的声响(到底是啥声?点下面的视频听听吧),因此它也被叫做“狗吠反应”。反应式:8N2O + 4CS2 →  S8 + 4CO2 + 8N2。在上面的动图中,显示的是反应的慢动作。
& x5 C* h- {9 r* g- l  I( x2 u
$ N7 m. q- w( d4 `' A: Y
狗吠反应,视频版
2 C4 _2 [1 g" }5 E$ [
花絮:这个反应历史悠久,据说在1853年,化学家尤斯图斯·冯·李比希(Justus von Liebig)就已经在向学生展示这个实验了[1]。

) r4 t1 k. w2 _
危险:中。反应涉及燃烧和爆炸,二硫化碳有毒,虽然用量较少但还是应该在通风橱中操作并注意防护。不要在家尝试。
5 P- x% P9 ?2 _3 A( n* a$ [
录制者:Periodic Videos

  `' a( Q( f5 k( Y% p巫师熔炉

酷炫动图(二十一):万圣节篇

酷炫动图(二十一):万圣节篇

$ _- f& C1 i6 M
原理:在这口“大锅”里事先倒入了液氧,并投入了烧红的木炭块,木炭在高氧浓度的环境下剧烈燃烧。
! |5 e- t* k# {8 K
花絮:事实上,这里用到的容器并不是一口锅,它是从一台X射线光电子能谱分析仪上拆下来的旧零件:
! l2 Q9 K& s0 x9 P8 f( F

酷炫动图(二十一):万圣节篇

酷炫动图(二十一):万圣节篇

. A1 [6 t+ y1 B! |
这种分析技术运用了光电效应,用X射线照射所要分析的材料,同时测量从材料表面下逸出电子的动能和数量,从而得到X射线光电子能谱。通过它研究人员可以获得材料的元素组成等信息。顺便说,仪器本尊是长这样的:
% c1 _' @: F0 a

酷炫动图(二十一):万圣节篇

酷炫动图(二十一):万圣节篇
图片来自:iopb.res.in

. s+ {4 ~5 ~$ h. P
(真是一个走高科技路线的巫师呢……)
  J5 S0 m4 g" x% o
危险:高。反应剧烈,不要在家尝试。

8 p8 J# p5 @2 S; ^# P" g
录制者:Periodic Videos

5 ?0 F  `8 D6 P% i( Y万圣节反应

酷炫动图(二十一):万圣节篇

酷炫动图(二十一):万圣节篇
& G1 ?, d2 N0 U3 L' ?, `2 _
原理:最后,我们来欣赏一下这个正牌的“Halloween reaction”。它是碘钟反应的一个变种,之前的酷炫动图也曾经介绍过,这里展示的是另一个版本。它的与众不同之处是会形成独特的橙红色,这个颜色来自汞盐和碘离子形成的碘化汞沉淀,最终的黑色是叠加上了碘单质与淀粉显色的结果。
# g; Z9 x% A+ F% z5 Z反应式:' W' g: v# G: v4 G/ u3 a9 E# {# Q
Na2S2O5 + H2O → 2 NaHSO3' L+ ?: Z  h8 k5 w# O
IO3- + 3HSO3- → I- + 3SO42- + 3H+0 f! z% s4 d, ^5 [4 F* N. E
Hg2+ + 2 I- → HgI2
' z8 R  i* L, J& D  V% I IO3- + 5I- + 6H+ → 3I2 + 3H2O
/ ]  s& @1 r3 q! c危险:高。因为用到了高毒性的可溶性汞盐,这个反应必须要小心操作。不要在家尝试。
, s# p1 e3 c/ X% p) o如果不追求完全还原的话,用食品色素替代汞盐提供橙色可以使实验的安全性大大提升(这个反应没有由无色变成橙色的阶段):
+ Y0 ]/ l' P, C0 x

酷炫动图(二十一):万圣节篇

酷炫动图(二十一):万圣节篇
原视频来自:Tom Kuntzleman! b1 N* m# I! p5 L3 u
录制者:Wendell Thomas2 ?9 d; `# V; c% H( f; i
# q( C: X/ m' m- c& ]
参考资料:
    https://en.wikipedia.org/wiki/Barking_dog_reaction7 H% n4 ?0 C1 l
南通0
匿名
发表于 2015-10-31 19:43 | 显示全部楼层 来自:北京
提示: 作者被禁止或删除 内容自动屏蔽
回复 支持 反对

使用道具 举报

匿名
发表于 2015-10-31 19:43 | 显示全部楼层 来自:浙江
提示: 作者被禁止或删除 内容自动屏蔽
回复 支持 反对

使用道具 举报

匿名
发表于 2015-10-31 19:43 | 显示全部楼层 来自:北京
提示: 作者被禁止或删除 内容自动屏蔽
回复 支持 反对

使用道具 举报

匿名
发表于 2015-10-31 19:43 | 显示全部楼层 来自:北京
提示: 作者被禁止或删除 内容自动屏蔽
回复 支持 反对

使用道具 举报

匿名
发表于 2015-10-31 19:43 | 显示全部楼层 来自:浙江
提示: 作者被禁止或删除 内容自动屏蔽
回复 支持 反对

使用道具 举报

匿名
发表于 2015-10-31 19:44 | 显示全部楼层 来自:北京
提示: 作者被禁止或删除 内容自动屏蔽
回复 支持 反对

使用道具 举报

匿名
发表于 2015-10-31 19:44 | 显示全部楼层 来自:浙江
提示: 作者被禁止或删除 内容自动屏蔽
回复 支持 反对

使用道具 举报

匿名
发表于 2015-10-31 19:50 | 显示全部楼层 来自:华盛顿州
提示: 作者被禁止或删除 内容自动屏蔽
回复 支持 反对

使用道具 举报

匿名
发表于 2015-10-31 19:50 | 显示全部楼层 来自:华盛顿州
提示: 作者被禁止或删除 内容自动屏蔽
回复 支持 反对

使用道具 举报

匿名
发表于 2015-10-31 19:58 | 显示全部楼层 来自:江苏
提示: 作者被禁止或删除 内容自动屏蔽
回复 支持 反对

使用道具 举报

您需要登录后才可以回帖 登录 | 注册

本版积分规则

手机版|无图版|站务联系 | 商务合作 | 平台公约

信息产业部备案:苏ICP备05014191号-1 经营性ICP许可证:苏B2-20110445 苏公网安备 32060202000307号 © 2001-2019 0513.org All Right Reserved.

投诉争议 技术支持:第一互联 GMT+8, 2025-12-22 01:05 , Processed in 0.237345 second(s), 15 queries , MemCache On. 站点统计

快速回复 返回顶部 返回列表