濠滨论坛

点击扫描二维码

查看: 11392|回复: 33

[科普] 终极溏心蛋挑战:分子料理煮出完美鸡蛋

[复制链接]

该用户从未签到

发表于 2015-10-9 15:00 | 显示全部楼层 |阅读模式 来自:江苏
(编译:Stellasun)关于煮鸡蛋,许多烹饪书上都是这么说的:煮溏心蛋需要3-6分钟,煮透需要8-10分钟,蛋黄硬度介于两者之间的煮鸡蛋需要6-8分钟。但对想煮出完美溏心蛋的朋友们来说,从科学的角度看,3-8分钟这个窗口也太大了,而且好多重要的参数也并没有确定下来:鸡蛋的大小有影响吗?是刚从冰箱里拿出来的还是室温保存的?用开水煮还是冷水煮?如果是用冷水煮,那么是从开火就开始计时,还是从水开了之后才开始计时?锅子的大小、水量和炉子的火力会影响时间吗?
+ i% ^2 w$ R4 S2 K+ t  s

终极溏心蛋挑战:分子料理煮出完美鸡蛋

终极溏心蛋挑战:分子料理煮出完美鸡蛋
图片来源:http://blog.khymos.org/2011/04/18/perfect-egg-yolks/
  s4 \9 ^) T# f% R9 T$ [7 R# q如果这些问题真的困扰着你,接着读下去,因为我们即将送上——! F9 N# G7 Z( P/ u" n
终极煮鸡蛋公式我第一次听说煮鸡蛋公式的时候还在上高中,觉得这些人真是太书呆子了;很多年过去了,没想到我也成了呆子中的一员:)
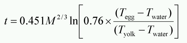
: _. j1 V# }1 B3 I" F6 W; W  [感谢谷歌,以及彼得·巴汉姆(Peter Barham)的著作《烹饪的科学》,我找到了目前全网最详细的煮鸡蛋公式:由埃克塞特大学物理系讲师查尔斯·威廉姆斯博士(Charles D. H. Williams)提供的基于质量的煮鸡蛋公式;他甚至还专门建了个关于煮鸡蛋的站,还给出了公式的推导过程。
7 ?+ T( V: I3 q' X2 U

终极溏心蛋挑战:分子料理煮出完美鸡蛋

终极溏心蛋挑战:分子料理煮出完美鸡蛋
$ x& V  C* W2 R: e6 f" P+ ]
参数说明:Tegg=鸡蛋的初始温度(温度单位都是°C);Twater=水温;Tyolk=理想的蛋白和蛋黄分界处的温度;t=煮鸡蛋时间(单位:分钟);M=鸡蛋质量(单位:克)/ H  ?8 ?2 C# u" I5 }4 V
如果没有条件精确称出鸡蛋的质量,彼得·巴汉姆在《烹饪的科学》的科学中还给出了一个基于鸡蛋周长的公式(这里的周长指的是鸡蛋最粗处的周长),用细线和直尺就能量出来:
0 R3 z. u4 T2 y5 W

终极溏心蛋挑战:分子料理煮出完美鸡蛋

终极溏心蛋挑战:分子料理煮出完美鸡蛋

/ j/ C8 ]/ T! F/ x2 e2 y) [& r参数说明:t=煮鸡蛋时间(单位:分钟);c=鸡蛋周长(单位:厘米)
1 d' ]: Y- L0 b我在奥斯陆大学的同事们还做了个演示巴汉姆公式的flash。巴汉姆的公式给出的是蛋黄中心达到想要的温度的时间;威廉姆斯给出的则是蛋黄-蛋白分界达到理想温度的时间。我用50个鸡蛋做了实验,在理想蛋黄温度 63 °C, 水温  100 °C时,这两个公式给出的时间都差不多,但周长公式的方差更大一些(见下图);蛋黄温度更高,或水温更低时,根据威廉姆斯公式计算出的时间都更长一些。两个公式哪个更科学还需要进一步实验才能发现。
* ]; D% x. o- f" y( s

终极溏心蛋挑战:分子料理煮出完美鸡蛋

终极溏心蛋挑战:分子料理煮出完美鸡蛋

( i. c6 G/ j; C! S图片来源:http://blog.khymos.org/2009/04/09/towards-the-perfect-soft-boiled-egg/
: x4 b, w6 q9 m( j6 R图片显示了50个鸡蛋(按质量排列)在理想蛋黄温度 63 °C, 水温  100 °C , 鸡蛋初始温度 4 °C的条件下,根据质量公式和周长公式分别计算出的烹饪时间。鸡蛋的周长其实不太好量,所以误差更大一些。鸡蛋有没有煮好主要取决于蛋白和蛋黄的温度。蛋白会在62-65 °C之间开始凝固,在这个温度下,蛋白中对温度最敏感的蛋白质——卵转铁蛋白开始凝固,它约占蛋白总质量的12%;而占蛋白总质量54%的蛋白质卵清蛋白则要到80°C以上才会开始凝固。蛋黄在约65 °C左右开始变硬,约70 °C时凝固。进一步加热到80-90 °C左右,溏心蛋就成了普通的白煮蛋。下图显示了用舒肥法(Sous Vide)煮鸡蛋时蛋黄和蛋白发生的变化,下表用文字总结了这些变化:
! U$ }' @1 O3 J                        温度/ °C$ @/ F+ ^# _* m" {. }' t0 n
                                                                        蛋白
" h) \7 L$ Q& |5 Y- r                                                                        蛋黄
5 X9 I" q% i' G# {9 A                                                                62- {# ?* q9 \4 _' B! o. k3 F; ^
                                                                        软的,开始凝固1 V1 ~5 K2 E" D9 I! I
                                                                        液状# j% ?3 g7 ]* V! Q1 k2 P' {
                                                                64. O: }7 B/ @! Y! W/ W, _2 T, ?( ~
                                                                        软的,部分凝固+ P) l/ J2 n3 x& Y" q! `; I
                                                                        开始凝固& M2 Q) S8 u5 h' I8 U" [) b. k! Z8 x- y
                                                                66+ S0 P3 ^' t+ p" r$ ]. U) x
                                                                        还是软的,大部分凝固了
, Y  p, B5 L9 _8 R! k                                                                        软质的固体  D- n4 t0 j/ n
                                                                704 h$ C1 j- u+ _
                                                                        柔软的固体5 R4 t3 I- _6 e
                                                                        软质的固体,有点发干. a/ @4 U! ^: {- b# M# E; M3 q
                                                                80- z8 F: ^4 a# g7 x/ {5 {& ?
                                                                        硬的0 o8 g) `" O8 z: w' A
                                                                        硬的6 q$ h" N: T9 D9 Y6 e
                                                                90
. h4 p0 F* M& c' _  o# l' _                                                                        煮老了
9 I5 `# m: u" F' B( X                                                                        干硬易碎
# R0 }8 i5 c) o% a4 A( M                                        在海平面,水沸腾的温度是100 °C. 海拔越高,水的沸点就越低;一般来说,海拔每上升100米,沸水的温度就下降0.3 °C;想得到更精确的数字可以用这个计算器。最后,鸡蛋的初始温度一般是4 °C(从冰箱里拿出来)或20 °C(室温)。# }# h, ?  x4 ^8 f/ y# ^3 U
我计算了蛋黄温度63 °C, 水温100 °C , 鸡蛋初始温度4 °C时50个鸡蛋的煮蛋时间。这样,知道了鸡蛋的质量或周长,就能通过看图得到理想的煮蛋时间啦!
6 a# ]5 G% @  t& e2 ?6 y$ ^

终极溏心蛋挑战:分子料理煮出完美鸡蛋

终极溏心蛋挑战:分子料理煮出完美鸡蛋

2 t1 h( u0 T" }看图知时间,左周长,右质量。图片来源:http://blog.khymos.org/2009/04/09/towards-the-perfect-soft-boiled-egg/
; V: u! L* x( c( c9 @) E8 w6 m但按照这个公式煮出来的鸡蛋就真的完美了吗?其实……并没有。接着看下去!用开水煮鸡蛋的问题是,即使蛋黄达到了理想的温度,蛋白的温度也控制不了。如果煮鸡蛋的水温是95-100 °C,那么蛋白(至少最外面的那部分蛋白)也会有95-100 °C,这个温度的蛋白吃起来就老了。所以现在我们的问题是,要在把蛋黄加热到65 °C的同时,不让蛋白达到80 °C以上。怎么办呢?不要用白水煮了,用舒肥法(sous vide)吧。(译注:舒肥法是一种分子料理方法,一般指在60°C左右的低温下,长时间加热经过真空处理的食材)
9 k& R  O5 Q8 @, ?. p鸡蛋非常适合用舒肥法烹饪。舒肥法烹制鸡蛋只需要水浴加热就行,用不着套塑料袋或者真空包装。下图是道格拉斯·鲍德温(Douglas Baldwin)用舒肥法烹饪75分钟,加热到从57.8 到66.7 °C的不同温度的鸡蛋;图中可以看出烹饪过程中蛋黄和蛋白发生的变化。
' D6 j' C  T3 r0 j4 m  ~

终极溏心蛋挑战:分子料理煮出完美鸡蛋

终极溏心蛋挑战:分子料理煮出完美鸡蛋
摄影: 道格拉斯·鲍德温;照片经允许使用
- j( Y$ S) q% s' X' H但用舒肥法烹制的鸡蛋的问题是,它们是“夹熟”的:蛋黄已经凝固了,但蛋白还是生的。如果没有舒肥法的恒温水浴锅,你也可以用烤箱自制夹熟蛋:烤箱预热到70 °C,然后把一升水加热到65-70 °C,把鸡蛋放进乘水的锅里,用盖子盖上,在烤箱里放上一小时;烤箱的温度计很容易出错,所以需要用单独的温度计来测试温度,多试上几次,你就能做出夹熟鸡蛋啦。
5 v0 N8 M7 Z. M4 z! w: h虽然很有趣,但如果在溏心之余,你对蛋白的质地也有要求的话,那么“夹熟”的鸡蛋并没有多大吸引力:这样做出的蛋白太稀了。在我看来,完美的溏心蛋的蛋白温度约为70-80 °C,蛋黄与蛋白的边界约为64 °C,蛋黄中心60 °C用75-80 °C的舒肥法水浴加热,可以在一小时以内烹制出这样的完美溏心蛋。2 k2 J$ F' H4 a% I* K5 s/ u
外国人是怎么煮鸡蛋的?事实上,科幻小说家儒勒·凡尔纳在他的小说《太阳系历险记》中就提到了在低于100 °C的温度下“煮”鸡蛋的可能性。在小说中的彗星上,水的沸点66 °C——这个温度选的相当好,把鸡蛋保持在66 °C是不可能出错的。从原文看,鸡蛋煮了“整整一刻多钟”,却还是有点带生。当然,小说里没有提到鸡蛋的大小,所以也没法再做什么推断。但小说本身还是很有趣的,所以我就放在这儿了:2 ?& g3 ^! `! Y" J! d& X* f
(节选自中国青年出版社《太阳系历险记》1981年,惊蛰、陈祚敏译)! i. F( ~# P$ k; i
铜锅已经放在炉子上,锅内盛满了水。水一煮开,便可将鸡蛋放入锅内。本一佐夫手上拿着的鸡蛋几乎没有份量,好象是空的一样。 可是,不到两分钟,水就开了。
3 m$ U8 m, o# Q& i“见鬼,这炉子烧得真快!”本一佐夫叫道。/ y9 X2 d0 [. B; x2 j
“不是炉子烧得快,而是水开得快!”上尉塞尔瓦达克思考片刻后答道。. v5 p( j; z" X& p$ Y4 i. `
说着,他把挂在墙上的温度表取下来,放入开水中,温度表上指着70℃。# u, h  j/ C8 q$ C) u
“怪事?现在水不是到一百度而是七十度就开了。”
9 K$ T5 L3 D% i$ A1 e2 j* m8 F“那怎么办呢,上尉?”" E# H, c7 f2 B! E
“我说你应当让鸡蛋在锅里煮上一刻钟。你尽可放心,即使煮这样长的时间,那也不过是刚刚煮熟而已!”
- C1 G1 |# V7 {- J; L“不会煮得太老吗?”3 F, `$ t& O- K2 P; b
“不会的,本一佐夫。仍然会相当嫩,刚好可以用面包蘸着吃。”
3 Q6 L3 k  @3 g+ E2 P: ?  \$ n上尉的分行完全正确。造成这种情况显然是因为气压下降,这同空气密度的减小是一致的。水煮到七十度便开,这表明地球表面的气压已经下降约三分之一。这种情况同在一千一百米高山上完全一样。要是上尉手头有一支气压表,就可准确地知道气压究竟下降了多少。正是这一原因。他们的说话声变低了,呼吸变得急促了,血管里的血也流得慢了。不过,他们对于这些变化已经逐渐适应。
& v, K5 w7 q/ A0 b“可是,”上尉塞尔瓦达克在心里嘀咕道,“很难说我们现在是在一千多米的高山上,因为咆哮的大海就在我们的眼前。”
. z( L% h& g+ ~7 }5 l3 W- y; Y塞尔瓦达克对这些现象的分析虽然完全正确,但还是没有找到真正的原因。$ T: f- i* R2 t, V* v
鸡蛋在开水里多煮了一会儿,总算已经煮熟,古斯古斯也已做好。本一佐夫心想,今后给上尉做饭,看来需要提前一小时上灶,免得时间不够,弄得手忙脚乱。* Q. R* U( x1 ^+ [5 U; t4 U
其实,要想找到低温煮鸡蛋的案例,并不需要跑到另一个星球去:日本的温泉蛋——把一篮鸡蛋浸入温泉,吃的时候打在海带汤里,浇上酱油和味淋——就是一个很好的例子。由于不同的温泉的温度不同,温泉蛋有许多种类,但和使用舒肥法烹饪鸡蛋一样,做温泉蛋的难点在于控制温度;一种方法是把鸡蛋放在刚煮好的米饭上,然后把电饭煲调到保温档。% \  M" _9 d( V  J. E

终极溏心蛋挑战:分子料理煮出完美鸡蛋

终极溏心蛋挑战:分子料理煮出完美鸡蛋
温泉蛋。图片来源: Miya.m. 使用准许: GFDL, cc-by-sa-2.1-jp
. s( u$ L- u, A0 C3 T在芬兰,有些桑拿会在浴室里装上架子,在架子上放上几层鸡蛋,底层的是白煮蛋,高层的就是溏心蛋。但由于空气传热很慢,浴室必须保温很长时间,才能达到煮蛋的效果。如果直接把鸡蛋放在温泉石上,蛋壳就会变成棕色,而且有股果仁香味;在韩国,这样的桑拿蛋又叫做爱尔文蛋(Maekbanseok gyeran)。2 e$ L2 q" l+ n+ L6 ?) k

终极溏心蛋挑战:分子料理煮出完美鸡蛋

终极溏心蛋挑战:分子料理煮出完美鸡蛋
韩式温泉蛋。图片来源:mykoreankitchen& Q4 g6 o; y* I
还有——小心,别煮裂了鸡蛋表面大约有7000到10000个气孔,这意味着鸡蛋中的水分会慢慢蒸发出去(鸡蛋的密度从新鲜时的1.086 g/cm3开始,每天下降0.0017 g/cm3)。因此,室温下的鸡蛋变陈起来比冰箱里的鸡蛋更快。也正是因为这些气孔的存在,鸡蛋不能放在有强烈气味的食物——比如洋葱边上(除非你喜欢洋葱味的鸡蛋)。- L  y- x0 K  G, \2 z: l- b' T

终极溏心蛋挑战:分子料理煮出完美鸡蛋

终极溏心蛋挑战:分子料理煮出完美鸡蛋
显微镜下的蛋壳。摄影: Jim Ekstrom
) m' g& |& Z9 q' m7 y! G$ b8 q煮鸡蛋的过程中,常常会发生鸡蛋裂开的情况。最显而易见的原因是蛋壳砸到锅底破了;另一个原因是鸡蛋大头处聚集的空气受热膨胀,无法及时通过小气孔排放出去。防止鸡蛋裂开的传统做法是在煮鸡蛋前在大头处敲一个小洞帮助排气。事实上,还真有人(用了1000个鸡蛋)做过这方面的研究;他们发现无论敲不敲洞,新鲜鸡蛋都很少裂开;敲过洞后,放了五天的陈鸡蛋的裂开次数少于没有处理过的鸡蛋,而对于放了28天的陈鸡蛋,敲洞完全防止了裂开。作者认为,由于水分蒸发,鸡蛋产生了气泡,可以发生膨胀的空气量也就增加了;新鲜鸡蛋的蛋壳是有孔的,但存放过程中许多气孔就被堵上了。有趣的是,这篇论文的摘要是以这样一句话结尾的(这篇文章是在1973年发表的,但就算是对今天的科学杂志来说,这种说法仍然十分罕见):) z4 i  P# o) [; b" n% g, r; x% c
因此,家庭主妇们应该在煮鸡蛋前给鸡蛋穿个孔,因为如果鸡蛋是新鲜的,这样做不会有什么害处;但如果是陈鸡蛋的,就能防止鸡蛋裂开。
8 q) D3 A# e9 D- ?相信这个建议对男性也是适用的。除了敲洞之外,往煮鸡蛋的水里加盐和醋也能防止鸡蛋裂开;这样做的原理是加快蛋白的凝固,从而把裂缝堵住。
3 Q4 U; c) t8 B2 \* F7 n所以,到底该怎么煮?首先,为了实现溏心,用舒肥法低温(60摄氏度左右)加热鸡蛋60分钟以上+ j6 N, S6 X9 x

3 J) F9 b& b1 _) [

终极溏心蛋挑战:分子料理煮出完美鸡蛋

终极溏心蛋挑战:分子料理煮出完美鸡蛋
然后就能吃到城里人最爱的蛋黄蘸饼干啦。图片来源:www.telegraph.co.uk/foodanddrink/foodanddrinknews/11477097/Breakfast-for-the-lazy-introducing-Yowk-the-pre-boiled-egg.html
/ w2 h( m( F, d! w: n这篇论文甚至介绍了蛋黄达到不同食材质地所需的时间和温度——然后就可以拌着吃啦。2 L3 ]/ S2 z. y) t1 M

终极溏心蛋挑战:分子料理煮出完美鸡蛋

终极溏心蛋挑战:分子料理煮出完美鸡蛋

2 Z. a+ W, Q, j! Z) p让蛋黄达到不同食材质地所需的时间和温度搭配。从上到下分别是酵母酱、饼干糖霜、蜂蜜、蛋黄酱和炼乳。图片来源:Culinary Biophysics: on the Nature of the 6X °C Egg, figure 8, page 158. . O8 T# s  O+ l- J- R3 _
接着,如果对蛋白的质地有要求,可以在舒肥法之后将鸡蛋在沸水中浸泡2到3分钟;如果是温度稍低的热水,时间相应增加。未凝固的蛋清的热传导作用很可能会使蛋黄的温度也一道增加,但如果在水浴加热时把温度设定得稍低一些(60摄氏度出头),就能避免影响到溏心蛋的口感。& W/ c6 _, m" g% L8 K

终极溏心蛋挑战:分子料理煮出完美鸡蛋

终极溏心蛋挑战:分子料理煮出完美鸡蛋
效果图:63度下,舒肥法加热不同时间得到的溏心蛋成品。图片来源:http://blog.khymos.org/2011/04/18/perfect-egg-yolks/$ |! U. }3 l8 ]! i' f7 `$ g2 \2 K
结论:舒肥法定蛋黄,开水泡制蛋清,enjoy~南通0
匿名
发表于 2015-10-9 15:10 | 显示全部楼层 来自:江苏
提示: 作者被禁止或删除 内容自动屏蔽
回复 支持 反对

使用道具 举报

匿名
发表于 2015-10-9 15:37 | 显示全部楼层 来自:江苏
提示: 作者被禁止或删除 内容自动屏蔽
回复 支持 反对

使用道具 举报

匿名
发表于 2015-10-9 16:05 | 显示全部楼层 来自:江苏
提示: 作者被禁止或删除 内容自动屏蔽
回复 支持 反对

使用道具 举报

匿名
发表于 2015-10-9 16:25 | 显示全部楼层 来自:江苏
提示: 作者被禁止或删除 内容自动屏蔽
回复 支持 反对

使用道具 举报

匿名
发表于 2015-10-9 16:51 | 显示全部楼层 来自:江苏
提示: 作者被禁止或删除 内容自动屏蔽
回复 支持 反对

使用道具 举报

匿名
发表于 2015-10-9 17:08 | 显示全部楼层 来自:江苏
提示: 作者被禁止或删除 内容自动屏蔽
回复 支持 反对

使用道具 举报

匿名
发表于 2015-10-9 17:35 | 显示全部楼层 来自:江苏
提示: 作者被禁止或删除 内容自动屏蔽
回复 支持 反对

使用道具 举报

匿名
发表于 2015-10-9 17:58 | 显示全部楼层 来自:江苏
提示: 作者被禁止或删除 内容自动屏蔽
回复 支持 反对

使用道具 举报

匿名
发表于 2015-10-9 18:26 | 显示全部楼层 来自:江苏
提示: 作者被禁止或删除 内容自动屏蔽
回复 支持 反对

使用道具 举报

匿名
发表于 2015-10-9 18:51 | 显示全部楼层 来自:江苏
提示: 作者被禁止或删除 内容自动屏蔽
回复 支持 反对

使用道具 举报

匿名
发表于 2015-10-9 19:17 | 显示全部楼层 来自:江苏
提示: 作者被禁止或删除 内容自动屏蔽
回复 支持 反对

使用道具 举报

匿名
发表于 2015-10-9 19:36 | 显示全部楼层 来自:江苏
提示: 作者被禁止或删除 内容自动屏蔽
回复 支持 反对

使用道具 举报

匿名
发表于 2015-10-9 20:01 | 显示全部楼层 来自:江苏
提示: 作者被禁止或删除 内容自动屏蔽
回复 支持 反对

使用道具 举报

匿名
发表于 2015-10-9 20:30 | 显示全部楼层 来自:江苏
提示: 作者被禁止或删除 内容自动屏蔽
回复 支持 反对

使用道具 举报

匿名
发表于 2015-10-9 20:54 | 显示全部楼层 来自:江苏
提示: 作者被禁止或删除 内容自动屏蔽
回复 支持 反对

使用道具 举报

匿名
发表于 2015-10-9 21:13 | 显示全部楼层 来自:江苏
提示: 作者被禁止或删除 内容自动屏蔽
回复 支持 反对

使用道具 举报

匿名
发表于 2015-10-9 21:38 | 显示全部楼层 来自:江苏
提示: 作者被禁止或删除 内容自动屏蔽
回复 支持 反对

使用道具 举报

匿名
发表于 2015-10-9 21:55 | 显示全部楼层 来自:江苏
提示: 作者被禁止或删除 内容自动屏蔽
回复 支持 反对

使用道具 举报

匿名
发表于 2015-10-9 22:19 | 显示全部楼层 来自:江苏
提示: 作者被禁止或删除 内容自动屏蔽
回复 支持 反对

使用道具 举报

匿名
发表于 2015-10-9 22:43 | 显示全部楼层 来自:江苏
提示: 作者被禁止或删除 内容自动屏蔽
回复 支持 反对

使用道具 举报

匿名
发表于 2015-10-9 23:00 | 显示全部楼层 来自:江苏
提示: 作者被禁止或删除 内容自动屏蔽
回复 支持 反对

使用道具 举报

匿名
发表于 2015-10-9 23:25 | 显示全部楼层 来自:江苏
提示: 作者被禁止或删除 内容自动屏蔽
回复 支持 反对

使用道具 举报

匿名
发表于 2015-10-9 23:52 | 显示全部楼层 来自:江苏
提示: 作者被禁止或删除 内容自动屏蔽
回复 支持 反对

使用道具 举报

您需要登录后才可以回帖 登录 | 注册

本版积分规则

手机版|无图版|站务联系 | 商务合作 | 平台公约

信息产业部备案:苏ICP备05014191号-1 经营性ICP许可证:苏B2-20110445 苏公网安备 32060202000307号 © 2001-2019 0513.org All Right Reserved.

投诉争议 技术支持:第一互联 GMT+8, 2025-12-20 21:07 , Processed in 0.286763 second(s), 15 queries , MemCache On. 站点统计

快速回复 返回顶部 返回列表