濠滨论坛

点击扫描二维码

查看: 5656|回复: 29

[科普] 宇航员能从“罗塞塔”跳到彗星上吗?

[复制链接]

该用户从未签到

发表于 2015-10-9 10:09 | 显示全部楼层 |阅读模式 来自:江苏

宇航员能从“罗塞塔”跳到彗星上吗?

宇航员能从“罗塞塔”跳到彗星上吗?
从“罗塞塔”号上跳下去的话,宇航员能够跳到彗星上吗?图片来源:rustoria.ru
- ]! b- A* \# K6 C4 d" f% g编辑的话:有没有想过,如果你能够骑在“罗塞塔”探测器上,亲眼看着67P/楚留莫夫-格拉希门克彗星一点点靠近,会是什么样的感受?假如你现在就站在“罗塞塔”探测器上,当它最靠近目标彗星的时候,你勇敢地从探测器上跳下去,能不能成为登陆彗星的第一人?听起来,这个问题相当酷,可是到底能不能实现呢?为此,欧洲空间局的“罗塞塔”官方博客专门请教了美国东南路易斯安那大学的物理学副教授雷特·阿兰(Rhett Allain),请他来回答这个问题。
7 P# q# L( n2 ~; W(艾麦乐/译)它就要快到了。“罗塞塔”探测器很快就要跟67P/楚留莫夫-格拉希门克彗星交会了。: X: s/ ~& T" _" W* ~* i
假设有一名宇航员骑在“罗塞塔”探测器上。等“罗塞塔”近距离飞越这颗彗星时,这名宇航员从探测器上跳下来,他能够登陆这颗彗星吗?听起来,这就好像一名牛仔从马背上飞身跃上一列火车——如果真的可行的话。我们不妨先来算上一算。% S0 O+ ^! R, U6 @7 H
假设“罗塞塔”近距离飞越彗星时,与彗星的相对速度大约为2米/秒,到彗星表面的最近距离约为5米。
0 N0 e7 X- i9 m

宇航员能从“罗塞塔”跳到彗星上吗?

宇航员能从“罗塞塔”跳到彗星上吗?
9 J/ z6 g, l* A5 E2 n
当然,这幅图并没有按比例绘制,不过已经足够让你领会精神了。你可能会问,“为什么探测器上会有一名宇航员呢?”为什么你会问出这么疯狂的问题来?很明显,这名宇航员想从探测器上跳到彗星上去。
. d4 i! j. I8 H) v9 V" Y$ h1 C以下是一些其他的初始设定:
0 f6 V0 _- R1 \+ A$ I9 ]3 o, E0 \67P彗星的质量为3.14 x 1012千克,半径为2千米;当然,这颗彗星并不是球形的——但我们还是假设它是球形为好。        “罗塞塔”探测器几乎沿着一条直线飞行,直到宇航员起跳为止。        “罗塞塔”的质量为1580千克(包含剩余的燃料和100千克重的着陆器“菲莱”)。        宇航员的质量为80千克(人加上宇航服)。        来自太阳的引力在这个位置基本恒定。我觉得这是个相当靠谱的假设。        由于彗星的公转运动带来的加速度也非常小。这意味着,在彗星参考系中,我可以忽略离心力和科里奥利力之类的惯性力。这些数据已经足够了。现在,我们把这个动作分解成不同的步骤。* F, [6 ^* I- Q8 c5 {. p, v
起跳为了尝试着赶上彗星的运动速度,宇航员必须跳起来才行。在彗星参考系中,彗星是固定的,飞船则以2米/秒的速度移动。宇航员起跳之后,他的速度能够变成0米/秒吗?8 I/ v8 a4 ]2 F* s
宇航员能够跳多快?这里我只考虑普通人,而非职业运动员。在地球表面,假设这名宇航员能够跳起20厘米。注意,这里说的是质心高度的变化,而不是脚底板高度的变化(在起跳之后,你可以把腿蜷缩起来,这样脚底板就会离地更高,但你的质心仍然只抬高了20厘米)。! j2 Y$ X) T5 a4 U: \5 X* `& s) B

宇航员能从“罗塞塔”跳到彗星上吗?

宇航员能从“罗塞塔”跳到彗星上吗?
* w8 A. ]4 Z) s' Z% A
在这个过程中,宇航员在推动自身向上加速的同时,质心从y1升高到y2。到了y2,宇航员不再与地面接触。不过,他会以同样的速度继续向上运动。
5 t: V3 l% H# q: s$ q4 v我们真正需要知道的,是宇航员起跳时所做的功。这意味着,我必须知道宇航员在起跳的过程中,先会屈膝多少距离。我估算这3个高度分别是75厘米,103厘米和123厘米。既然宇航员始于位置1,速度为零,最终跳到位置3,速度仍然为零,那么宇航员所做的功就应该相当于他自身重力势能的改变量。体重80千克的宇航员总共跳起48厘米,需要做功376.3焦耳(假设重力所作的功为m·g·h)。
# B$ u* O9 x+ N现在,我们还可以计算宇航员离开地面时的“发射速度”,虽然我们现在并不真正需要知道这个数据。为了能够跳起20厘米高,宇航员离地时的初速度必须达到1.98 m/s。1 W/ j1 Q3 K+ l9 F7 v
现在又到了假设时间。我们不妨假设宇航员从“罗塞塔”上跳离时,他所使用的能量是相同的。当然,这个假设实际上可能不一定成立,但这是一个很好的切入点。* u# e+ F( {# X2 B, b( p4 t! P
跳离“罗塞塔”如果宇航员能够以1.98米/秒的速度跳离地球表面,它能够以同样的速度跳离“罗塞塔”吗?或许不行。跟在地球上起跳相比,从探测器上起跳有一点完全不同——随着宇航员的起跳,探测器本身会朝反方向移动。
0 n1 K: ]  Y( n下图就是起跳中和起跳后的示意图。6 [! R& p6 [; t' l

宇航员能从“罗塞塔”跳到彗星上吗?

宇航员能从“罗塞塔”跳到彗星上吗?
4 B2 f0 x7 _1 s# n, w
宇航员在起跳时推动“罗塞塔”,后者也以同样的力反推宇航员。此外,作用于宇航员的力和作用于“罗塞塔”的力,作用时间都是一样长的。动量定律指出,力乘以作用时间,就等于那个物体动量的改变。这意味着,在起跳之后,“罗塞塔”和宇航员会获得相等却相反的动量。. t7 M- D( L& q! a- B
所以,现在我们知道两件事。我们知道宇航员和“罗塞塔”的动量相同,我们还知道两个物体的总动能(即来自于宇航员起跳的376.3焦耳)。我可以列出以下公式:; K( g9 g$ ]2 H% g& C- r' ^

宇航员能从“罗塞塔”跳到彗星上吗?

宇航员能从“罗塞塔”跳到彗星上吗?

, U& a- o3 O2 l  j& `, U3 F! u( {注意,这里我有一点“作弊”。首先,我列出的公式只包含速度的大小。其次,我假设“罗塞塔”和宇航员在起跳时都是静止的。不过相信我,最后一切都不会有问题。另外,我把宇航员作的功标记为Wa。
) Y6 ]  L3 g+ c% E现在,我有了两个方程,还有两个未知数(即两个最终速度)。运用一些代数,就可以解出以下两个速度:  o$ x4 v( R( A5 E8 L

宇航员能从“罗塞塔”跳到彗星上吗?

宇航员能从“罗塞塔”跳到彗星上吗?

3 S  F% Q, y" u: O# U做一个快速验算。如果把“罗塞塔”换成地球,也就是把“罗塞塔”的质量变成很大,你会看到它的速度会接近于0,所有能量都会集中到跳起的宇航员身上。) h$ ^5 p, m& E/ U0 |
把之前假设的所有数据代入方程,宇航员能够“跳起”的速度为2.99米/秒,“罗塞塔”的反弹速度为0.15米/秒。' W& Z$ o& ]  }/ E
等一下!这怎么可能?在探测器发生反弹的情况下,宇航员跳起的速度反而比地球上更快了。这里面没有问题吗?当宇航员在地球上跳起时,他做了两件事情:第一,对抗引力;第二,增加自己的动能。而在“罗塞塔”上起跳时,宇航员与“罗塞塔”之间的引力作用是极小的。事实上,如果“罗塞塔”的质量再大上许多倍,所有动能都转移到宇航员身上的话,他的起跳速度会达到3.07米/秒。
& \: }5 s$ x) x5 j/ U宇航员能跳到彗星上吗?是的。看上去,这是可行的。“罗塞塔”飞临彗星的速度约为2米/秒,此时宇航员跳下探测器。由于起跳速度可以超过2米/秒,他有办法做到起跳之后相对于彗星静止。% m9 x) r; U$ T8 ?( K5 r" h5 W
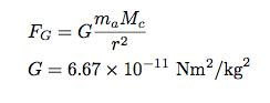
宇航员能“落”到彗星上吗?按照我们之前的假设,彗星的质量为3.14 x 1012千克,半径为2千米。我们可以应用引力公式,计算出宇航员和彗星之间的引力:2 ^7 K! u; h) a, f; C' N  O. o

宇航员能从“罗塞塔”跳到彗星上吗?

宇航员能从“罗塞塔”跳到彗星上吗?
% y  Z5 r& O7 _/ T$ G! O3 @! |
其中r是宇航员距离彗星中心的距离,G是万有引力常数。把彗星的质量和半径代入公式,我算出彗星的引力为0.0042牛顿,自由落体加速度为5.24 x 10-5米/秒2。考虑到宇航员“下落”时,这个距离并没有改变多少(5米相对于2千米),我们可以把这个加速度当成是常数。
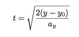
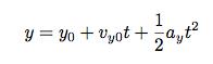
8 P$ w$ X: I# H1 }那么,宇航员要花多久时间才能下落5米踏上彗星表面呢?对于恒定加速的物体,我可以使用以下公式:
- b: l. C* _2 ~

宇航员能从“罗塞塔”跳到彗星上吗?

宇航员能从“罗塞塔”跳到彗星上吗?
' K# A) Q+ ^2 \6 l
我知道高度的改变y是-5米,初始速度为0米/秒。这样,计算时间就很容易了:
0 C: D. R' @. C" o

宇航员能从“罗塞塔”跳到彗星上吗?

宇航员能从“罗塞塔”跳到彗星上吗?
0 x1 S0 \9 i" C; v) a
利用上面算得的加速度和5米的高度,我计算得出自由落体时间是436.9秒(7.3分钟)。这段自由落体可真够长的,足够看上好几段视频来解闷了。
% h2 O+ v  H6 I% \所以,答案是:人类宇航员可以从“罗塞塔”号上跳下来,登陆那颗彗星。6 [0 S* A$ g9 Q& g3 C
现在,我们只需要跳下去即可!
! h8 r1 w& \$ `  n6 R% p& J编译自 “罗塞塔”官方博客,COULD YOU JUMP ONTO A COMET?
. V9 T2 ~$ F; n' `0 s“罗塞塔”探测器将于8月6日下午与67P/楚留莫夫-格拉希门克彗星交会,果壳网将进行图文直播,传送门:【直播帖】罗塞塔十年旅程,即将抵达终点南通0
匿名
发表于 2015-10-9 10:17 | 显示全部楼层 来自:江苏
提示: 作者被禁止或删除 内容自动屏蔽
回复 支持 反对

使用道具 举报

该用户从未签到

发表于 2015-10-9 10:44 | 显示全部楼层 来自:江苏
怎么没人问落到彗星之后怎么回来...
回复 支持 反对

使用道具 举报

匿名
发表于 2015-10-9 11:00 | 显示全部楼层 来自:江苏
提示: 作者被禁止或删除 内容自动屏蔽
回复 支持 反对

使用道具 举报

匿名
发表于 2015-10-9 11:30 | 显示全部楼层 来自:江苏
提示: 作者被禁止或删除 内容自动屏蔽
回复 支持 反对

使用道具 举报

匿名
发表于 2015-10-9 11:57 | 显示全部楼层 来自:江苏
提示: 作者被禁止或删除 内容自动屏蔽
回复 支持 反对

使用道具 举报

匿名
发表于 2015-10-9 12:23 | 显示全部楼层 来自:江苏
提示: 作者被禁止或删除 内容自动屏蔽
回复 支持 反对

使用道具 举报

匿名
发表于 2015-10-9 12:39 | 显示全部楼层 来自:江苏
提示: 作者被禁止或删除 内容自动屏蔽
回复 支持 反对

使用道具 举报

匿名
发表于 2015-10-9 12:55 | 显示全部楼层 来自:江苏
提示: 作者被禁止或删除 内容自动屏蔽
回复 支持 反对

使用道具 举报

匿名
发表于 2015-10-9 13:16 | 显示全部楼层 来自:江苏
提示: 作者被禁止或删除 内容自动屏蔽
回复 支持 反对

使用道具 举报

匿名
发表于 2015-10-9 13:37 | 显示全部楼层 来自:江苏
提示: 作者被禁止或删除 内容自动屏蔽
回复 支持 反对

使用道具 举报

匿名
发表于 2015-10-9 13:58 | 显示全部楼层 来自:江苏
提示: 作者被禁止或删除 内容自动屏蔽
回复 支持 反对

使用道具 举报

匿名
发表于 2015-10-9 14:18 | 显示全部楼层 来自:江苏
提示: 作者被禁止或删除 内容自动屏蔽
回复 支持 反对

使用道具 举报

匿名
发表于 2015-10-9 14:33 | 显示全部楼层 来自:江苏
提示: 作者被禁止或删除 内容自动屏蔽
回复 支持 反对

使用道具 举报

该用户从未签到

发表于 2015-10-9 14:53 | 显示全部楼层 来自:江苏
题图是几个意思。。
回复 支持 反对

使用道具 举报

匿名
发表于 2015-10-9 15:16 | 显示全部楼层 来自:江苏
提示: 作者被禁止或删除 内容自动屏蔽
回复 支持 反对

使用道具 举报

匿名
发表于 2015-10-9 15:39 | 显示全部楼层 来自:江苏
提示: 作者被禁止或删除 内容自动屏蔽
回复 支持 反对

使用道具 举报

匿名
发表于 2015-10-9 16:06 | 显示全部楼层 来自:江苏
提示: 作者被禁止或删除 内容自动屏蔽
回复 支持 反对

使用道具 举报

匿名
发表于 2015-10-9 16:24 | 显示全部楼层 来自:江苏
提示: 作者被禁止或删除 内容自动屏蔽
回复 支持 反对

使用道具 举报

匿名
发表于 2015-10-9 16:49 | 显示全部楼层 来自:江苏
提示: 作者被禁止或删除 内容自动屏蔽
回复 支持 反对

使用道具 举报

匿名
发表于 2015-10-9 17:11 | 显示全部楼层 来自:江苏
提示: 作者被禁止或删除 内容自动屏蔽
回复 支持 反对

使用道具 举报

匿名
发表于 2015-10-9 17:32 | 显示全部楼层 来自:江苏
提示: 作者被禁止或删除 内容自动屏蔽
回复 支持 反对

使用道具 举报

该用户从未签到

发表于 2015-10-9 17:50 | 显示全部楼层 来自:江苏
这算的到底是神马?
回复 支持 反对

使用道具 举报

匿名
发表于 2015-10-9 18:17 | 显示全部楼层 来自:江苏
提示: 作者被禁止或删除 内容自动屏蔽
回复 支持 反对

使用道具 举报

您需要登录后才可以回帖 登录 | 注册

本版积分规则

手机版|无图版|站务联系 | 商务合作 | 平台公约

信息产业部备案:苏ICP备05014191号-1 经营性ICP许可证:苏B2-20110445 苏公网安备 32060202000307号 © 2001-2019 0513.org All Right Reserved.

投诉争议 技术支持:第一互联 GMT+8, 2025-12-16 12:18 , Processed in 0.247028 second(s), 15 queries , MemCache On. 站点统计

快速回复 返回顶部 返回列表