濠滨论坛

点击扫描二维码

查看: 5784|回复: 33

[科普] 凛冬将至:以三体理论解释维斯特洛大陆气候

[复制链接]

该用户从未签到

发表于 2015-10-8 15:41 | 显示全部楼层 |阅读模式 来自:江苏
编者按:在乔治?马丁的《冰与火之歌》中,维斯特洛拥有季节分明但周期极不稳定的气候。夏季和冬季都可以持续好多年,长夏当中自然物产丰沛,人民过得也好一些;而漫长的冬季会极其难熬。更糟糕的是,这一切都不可预测。一群现实当中的科研者化身维斯特洛的学士,发表了一篇“论文”试图以三体运动理论解决这个世界的季节预测难题。这篇“论文”于4月1日发表在不用同行评议的论文网站arXiv上。" \9 `* d3 R" M7 I# R0 v6 N2 ?
此文投交《旧镇之凶兆》杂志

! h  I: j/ x5 ^' e

9 d" ^' `7 v% t" a+ e! g“凛冬将至”

: ~" Z: L6 P% oVeselin Kostov1,2, Daniel Allan3, Nikolaus Hartman4,5, Scott Guzewich6,7, Justin Rogers8,9) ~0 h1 j& S: e, Z" \
1,2,维斯特洛,铁群岛的派克岛学士兼卡林湾客座学士
) K/ R! y8 Z" l) V) G( L  E3, 维斯特洛,阳戟城学士
. ?* O0 E+ U* k# [7 \4,5,维斯特洛,艾林谷学士,通讯地址:nik.hartman@gmail.com
8 ~5 b8 s6 Z2 G0 |. A9 T7 p1 r6,7,维斯特洛,风息堡学士,作为丹妮莉丝?坦格丽安随从在厄索斯流亡中2 e0 d$ f) A% q8 J# T1 k
8,9,维斯特洛,君临学士兼凯岩城学士[注1]
8 q9 P& H& K5 h( q' r摘要. U2 j* n) Y& X- S  X2 A6 ]% I
对于那些不种地且不关心种地的人来说,春秋分、播种季、作物轮种这等世俗之事没什么可关心的。但对于维斯特洛的普通人来说,正确认识长期气候变化的预测很必要。无论何时何地,农人收割时的情绪总是很糟糕,在寒冷的夜晚他们也过得不太舒适。许多学士尝试过预测天气、预报何时该种下最后一茬芜菁,希望再多几个气候暖和的年头。但他们都失败了。还有些人找寻一些模糊的(如果不是完全无意义的)、预示着“凛冬将至”的兆头,这些在气象学方面所做的努力比无用还糟糕。本文目的不在纠正这些可怕的错误,而是尝试解释G.R.R.M.[注2]世界中这种明显的不确定的季节变化。环绕双星运转的行星所表现出来的独特行为,是这种现象的一种自然的解释。因此,如果推测这颗行星正围绕着一对类似太阳的恒星旋转,我们借数值三体动力学之力作出了预言——非常不幸的是,对任何即将到来的凛冬的长度和严酷程度作出预测都是不可能的。我们的结论是,唉,学士们是对的——要想判断冬天是否到来,把手伸到空中感受下是唯一的方法,不用分析什么就能得出结论,还可以嘟哝着“凛冬将至?可能长又讨人厌,(可能长达850天,温度低于268开),或者可能短又暖(将近600天,才273开左右)。谁知道呢……”) O# {% k4 s4 `4 a- Y
关键词:维斯特洛,环绕双星的行星,三体, \) T7 B1 f9 ~8 D9 t# M
1 绪论冬季并不好过,虽然那时有欢乐又让人兴奋的节日,也是掠夺商铺的好时机。设想,如果冬季的长度与寒冷程度变化不定,那会有多糟糕?到G.R.R.M.[注2]设定的这一出了名的难以预测的世界中来吧。为了各位领主与众多的平民,我们尝试对维斯特洛与厄斯索斯居民忍受的这种不寻常的天气做一项长期预测。
$ L' c5 d0 `7 p) ]: y+ {我们先听取了一些有关冰与火之歌中这种不寻常气候的解释。我们仔细检视这些解释,将提出假说之人的命运交付与旧神裁决。那些假说不成立的人去守长城了。4 K1 ?1 d8 F% r( o% z3 `) \) C$ ]
1.1 地轴倾角地球自转轴稳定的倾角,让我们得以避免遭遇到那样的麻烦。尽管有人已经将维斯特洛大陆的季节变换归咎于行星自转轴的摇摆不定,但我们否定了这种说法,这只不过是凯岩城那些邪恶的宣传。就连格雷果?克里冈爵士都会告诉你,卫星会稳定行星的自转轴,阻止地轴的摇摆。4 t  Z0 m& S  p# C" V0 A, H  g) G1 N
1.2 椭圆轨道过去20年来发现的大量太阳系外行星已经弱化了我们太阳系的重要意义,扩展了我们对于行星轨道多样性的理解。考虑这样一条悲惨的椭圆轨道,当这条轨道上的行星游荡到远离母星的地方,行星上就会经历严酷而又漫长的冬季。这样的行星就是我们要寻找的吗?漫长的冬季看起来还挺像的,不过,不,我们偏离主题太远了。那些特权阶层或许可以保持温暖,但是在行星经过近日点时产生的短到残忍的温暖季节里抓紧时间耕种和收获的那些劳苦的农民,最终肯定会被寒冷擒获,变成尸鬼,导致它们数量越来越多。维斯特洛大陆最终会被这些没有生命的家伙完全占据。
: `- ~  z" B/ O- J! g1.3 污染物就我们所知,工业排放并非气候变化无常的原因。但是在我们抛开它不谈之前,必须强调工业排放是最为恐怖的温室气体来源,只有它能与自己一较高低。我们将在以后的文章中对龙和地球物理学因素进行进一步讨论。
2 I$ ?  X1 C9 d  q( B* @1.4 魔法是,可能与之相关。
3 M' F9 s% U* X6 R4 e1.5 另一原因(不是“另一些)”!)[注3]讨论过一切因素之后,剩下的唯一一项合理解释就是——神秘的三体系统。它不可预测又诡异的行为印证了“游戏”之名,这点将在下一部分中体现出来。
6 P8 o& o  Y+ F* [. o/ V% p5 H本论文结构如下:第2部分为分析,第3部分是结果讨论,第4部分是结论。
& E2 M' K1 \: I# D2 ?; b2. 材料和方法一颗太阳和一颗行星,只会带来平淡而乏味的周期性轨道。我们必须抛弃开普勒的“一夫一妻”制,探索一下多体世界。幸好,多体问题在维斯特洛已经被重复解决好几遍了。我们的行星应该有两颗太阳。, u; e( Q# p6 v& A
我们模拟了一颗环双星行星(CBP)的轨道,它围绕着由两颗类似太阳的恒星构成的双星系统运转。我们在层级雅克比坐标系中利用数值三体积分的方法,计算了CBP运行到轨道上不同地点时的位置和速度。当两颗恒星和这颗行星排在同一条轴线上时,我们开始积分。这个选择或许是出于计算方便的考虑,但我们怀疑这是一个噩兆。这个系统的参数在下表中列出:
! B3 c- G# A# G8 s# N5 p/ ^) h1 W

凛冬将至:以三体理论解释维斯特洛大陆气候

凛冬将至:以三体理论解释维斯特洛大陆气候

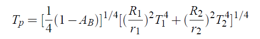
$ f/ }! @% ~( O这颗行星离动力学稳定的临界距离近到了相当危险的地步,但仍处在临界距离之外。简单起见,我们假设3个天体处在同一平面,行星的质量可以忽略,而且自转轴并不倾斜。在每一步中,我们都计算了行星到两颗恒星的距离,然后利用黑体近似计算了行星表面达到热平衡的温度,公式如下:
. b( O- M! s0 `6 l

凛冬将至:以三体理论解释维斯特洛大陆气候

凛冬将至:以三体理论解释维斯特洛大陆气候

+ y1 d6 ~/ F, K6 _其中Tp是行星表面的热平衡温度,AB是0.3的邦德反照率和30度的大气所带来的温室效应(参见云层,龙息,1.3节),R1和R2是两颗恒星的半径(都等于1倍太阳半径),T1和T2是两颗恒星的有效温度(都等于6000开),r1和r2是这一瞬间行星到两颗恒星的距离。
  f" n( D. r, D行星表面温度随时间变化的函数关系如图1所示。由于这颗行星的轨道半长轴一直在持续变化,行星表面照射到的阳光也在发生相应的变化,因此行星上的季节周期会发生明显的改变。这颗行星到双星系统质心的距离最近可达1.5个天文单位,最远可达2.5个天文单位(天文单位是指地球到太阳的平均距离,约为1.5亿千米)。
! T+ S7 N9 S' P( n3 U为了研究这颗行星的长期稳定性,我们展开了一场漫长的积分。它的轨道在计算包括的100万天之内都是稳定的。在第1000001天,安达尔人入侵了。所有后续研究项目的经费都被砍掉了。我们无法再继续我们的研究。我们中的一些人对经费被砍表达了强烈的不满,他们都被送到绝境长城去了。
9 e% e' Y0 Y9 }/ g) u1 q0 ~: L' L3. 讨论图1显示了近100维斯特洛年来季节的复杂变化。凛冬气温(多少天连续在冰点以下)与持续长短的变动都非常不规律,剧烈的波动让人不适。不同冬季间的平均温度差别很大,可达到5°;夏天也有相同的趋势,波动可达2°。这里提醒读者,典型的维斯特洛年有近700地球天。我们要指出,行星自转轴倾角不为0或者双星系统中存在其他的行星,可能会大大改变我们的结果。
8 z* z( a; r4 f8 v

凛冬将至:以三体理论解释维斯特洛大陆气候

凛冬将至:以三体理论解释维斯特洛大陆气候

& I) y$ [' @$ r% K! m- y- q( O# e图1
  n" N/ Q) n) t虽然总体上看起来,时间轴上整体看来好像存在着某种有规律的“周期”,如紧随在(炎夏+寒冬)之后的是(凉夏+暖冬)。每个“周期”持续几年,但它们的平均长度或详细的长期行为都无法预测。“缓和的夏季对应暖冬”的推测很吸引人,但这并不是一定的。一系列暖冬与凉夏之后可能会出现几个凛冬(图1,28与85前后),也可能不会。一种逐渐显现的模式是,夏季的最高温度出现局部的最低值(图1,30、40和93年附近),可以解释成可怕的凛冬将至的先兆。
9 W. w/ o' E) }. K- O% w围绕两颗表面温度6000开、质量与太阳相等的恒星运转的一颗行星表面的温度,它的轨道周期大约是750天。蓝点表示每一个冬天,红点表示每一个夏天。浅蓝色区域内的一切都被冻得结结实实的。
& R7 s9 G6 L2 u9 \& X' j' l$ p5 z另一个有趣的结果是长短冬季的分布。图2的是图1中所有冬季(蓝色点)长短统计的直方图。这一数值在行星轨道周期附近明显呈现出一个峰值。但是,平均值两边都有一些极端的点。有些冬季短到只有600维斯特洛天(=地球天),而另一些可长达850天。
, V; p) e6 Y, x5 \. r

凛冬将至:以三体理论解释维斯特洛大陆气候

凛冬将至:以三体理论解释维斯特洛大陆气候
图2:冬季长短的直方图。最短的冬季大约600维斯特洛天,最长的冬季大约850天。
, b& ]' ]$ b& X& i- ^7 E4. 结论怀着一颗沉重的心,我们得出结论:难以为维斯特洛的平民们提供可靠的气候预报。
# }7 v( D2 B2 E* V/ I+ {' A) a, ?5. 致谢作者们向每一位支持这个疯狂主意的人致以极大的感谢。特别希望我们的导师们永远也看不到这份“成果”,否则我们会被逼着回答这样一个逻辑问题“……为什么要浪费自己的时间?论文不会自己把自己写出来,先生!……”
1 x9 H9 v7 c3 M3 o5 a. u. Q: i这项研究消耗了我们所谓的业余时间,大量的咖啡和普通程度的脑力。
7 s& m! W5 I' i参考文献
    “...Tyrion shut the heavy leather-bound cover on the book he was reading, a hundred-yearold discourse on the changing of the seasons by a long-dead maester...”, Chapter Tyrion, Game of Thrones        “...They say it grows so cold up here in winter that a mans laughter freezes in his throat and chokes him to death...”, Chapter Eddard, Game of Thrones        “...Aeron had seen his eldest brother not a moons turn past...”, Chapter The Prophet, A Feast for Crows        “...Shes mad with moon blood...”, Chapter Brienne, A Feast for Crows        “...In winters past, food could be brought up the kingsroad from the south, but with the war...”, Chapter Jon, A Dance with Dragons        “...The Others. They are mentioned in the annals, though not as often as I would have thought...”, Chapter Jon, A Dance with Dragons: {. y4 z, K( o$ x* G
译者注:
$ K' T, H/ w* l) S# O3 _' e1 J* k1.这帮作者装自己是学士。
) o! f2 b! v+ c( o) ^2.G.R.R.M.为乔治·雷蒙德·理查德·马丁(Geoger Raymond Richard Martin)的缩写。
5 J8 r' F5 w7 ~! ]+ k; n) z/ G0 [3.原文为“Other (no ‘s’!)”。Others在《冰与火之歌》里有异鬼或者尸鬼的意思。
- U! J$ f. C( P本文编译自arXiv) C8 x2 ]1 {$ j6 \" p
翻译由lalunasun与Steed共同完成,花落成蚀亦有贡献,在此感谢二位。南通0
匿名
发表于 2015-10-8 15:51 | 显示全部楼层 来自:江苏
提示: 作者被禁止或删除 内容自动屏蔽
回复 支持 反对

使用道具 举报

匿名
发表于 2015-10-8 16:07 | 显示全部楼层 来自:江苏
提示: 作者被禁止或删除 内容自动屏蔽
回复 支持 反对

使用道具 举报

匿名
发表于 2015-10-8 16:25 | 显示全部楼层 来自:江苏
提示: 作者被禁止或删除 内容自动屏蔽
回复 支持 反对

使用道具 举报

匿名
发表于 2015-10-8 16:42 | 显示全部楼层 来自:江苏
提示: 作者被禁止或删除 内容自动屏蔽
回复 支持 反对

使用道具 举报

该用户从未签到

发表于 2015-10-8 17:09 | 显示全部楼层 来自:江苏
看完了杀就是这下场,前车之鉴啊
回复 支持 反对

使用道具 举报

匿名
发表于 2015-10-8 17:29 | 显示全部楼层 来自:江苏
提示: 作者被禁止或删除 内容自动屏蔽
回复 支持 反对

使用道具 举报

匿名
发表于 2015-10-8 17:55 | 显示全部楼层 来自:江苏
提示: 作者被禁止或删除 内容自动屏蔽
回复 支持 反对

使用道具 举报

匿名
发表于 2015-10-8 18:16 | 显示全部楼层 来自:江苏
提示: 作者被禁止或删除 内容自动屏蔽
回复 支持 反对

使用道具 举报

匿名
发表于 2015-10-8 18:39 | 显示全部楼层 来自:江苏
提示: 作者被禁止或删除 内容自动屏蔽
回复 支持 反对

使用道具 举报

匿名
发表于 2015-10-8 19:09 | 显示全部楼层 来自:江苏
提示: 作者被禁止或删除 内容自动屏蔽
回复 支持 反对

使用道具 举报

匿名
发表于 2015-10-8 19:28 | 显示全部楼层 来自:江苏
提示: 作者被禁止或删除 内容自动屏蔽
回复 支持 反对

使用道具 举报

匿名
发表于 2015-10-8 19:57 | 显示全部楼层 来自:江苏
提示: 作者被禁止或删除 内容自动屏蔽
回复 支持 反对

使用道具 举报

匿名
发表于 2015-10-8 20:22 | 显示全部楼层 来自:江苏
提示: 作者被禁止或删除 内容自动屏蔽
回复 支持 反对

使用道具 举报

匿名
发表于 2015-10-8 20:40 | 显示全部楼层 来自:江苏
提示: 作者被禁止或删除 内容自动屏蔽
回复 支持 反对

使用道具 举报

匿名
发表于 2015-10-8 21:00 | 显示全部楼层 来自:江苏
提示: 作者被禁止或删除 内容自动屏蔽
回复 支持 反对

使用道具 举报

匿名
发表于 2015-10-8 21:29 | 显示全部楼层 来自:江苏
提示: 作者被禁止或删除 内容自动屏蔽
回复 支持 反对

使用道具 举报

匿名
发表于 2015-10-8 21:46 | 显示全部楼层 来自:江苏
提示: 作者被禁止或删除 内容自动屏蔽
回复 支持 反对

使用道具 举报

匿名
发表于 2015-10-8 22:08 | 显示全部楼层 来自:江苏
提示: 作者被禁止或删除 内容自动屏蔽
回复 支持 反对

使用道具 举报

匿名
发表于 2015-10-8 22:36 | 显示全部楼层 来自:江苏
提示: 作者被禁止或删除 内容自动屏蔽
回复 支持 反对

使用道具 举报

匿名
发表于 2015-10-8 22:58 | 显示全部楼层 来自:江苏
提示: 作者被禁止或删除 内容自动屏蔽
回复 支持 反对

使用道具 举报

匿名
发表于 2015-10-8 23:18 | 显示全部楼层 来自:江苏
提示: 作者被禁止或删除 内容自动屏蔽
回复 支持 反对

使用道具 举报

匿名
发表于 2015-10-8 23:39 | 显示全部楼层 来自:江苏
提示: 作者被禁止或删除 内容自动屏蔽
回复 支持 反对

使用道具 举报

该用户从未签到

发表于 2015-10-9 00:00 | 显示全部楼层 来自:江苏
这群学士的项链不知该有多少个环。。。
回复 支持 反对

使用道具 举报

您需要登录后才可以回帖 登录 | 注册

本版积分规则

手机版|无图版|站务联系 | 商务合作 | 平台公约

信息产业部备案:苏ICP备05014191号-1 经营性ICP许可证:苏B2-20110445 苏公网安备 32060202000307号 © 2001-2019 0513.org All Right Reserved.

投诉争议 技术支持:第一互联 GMT+8, 2025-12-17 11:06 , Processed in 0.408826 second(s), 16 queries , MemCache On. 站点统计

快速回复 返回顶部 返回列表