濠滨论坛

点击扫描二维码

查看: 3509|回复: 30

[科普] 怎样用数学保护濒危语言?

[复制链接]

该用户从未签到

发表于 2015-10-8 16:23 | 显示全部楼层 |阅读模式 来自:江苏
据统计,平均每 14 天就有一种语言消亡。虽然不少语言的消失与种族的灭亡有关,但现如今这个现象则主要源于多语言社会中的人们选择一种外来强势语言,逐渐放弃母语。大规模的语言消亡无疑是一个悲剧,试想全世界最后只剩下两三种语言,那多乏味。
4 b( `9 q) \1 z不过别担心,数学家又来拯救世界了。圣塔菲研究所的Anne Kandler对一种濒于消亡的苏格兰盖尔语(Gaelic)进行了研究,推算出每年有 860 个说英语的当地苏格兰人学习盖尔语,可以保证盖尔语和英语在苏格兰共存下去。这个结论有助于政府及时采取合理的保护措施。她是如何算出来的?让我们来一看究竟。$ s( m. f* w4 w! @) K
两种语言如何共存在一个存在多种语言或者方言[1]的社会中,通常存在一定程度的语言分工,这导致了语言选择的问题。如果人们减少对某种语言的使用,对整个社区或族群来说,最终这种语言就可能会被另一种语言取代。一个实例是,从清朝开始满语逐步被汉语取代,目前掌握满文的人只剩下黑龙江少数乡镇的几十个老人和一些满语语言学者,这就是满族典型的语言转移(language shift)现象。3 B$ a/ [, W. T: H
问题是两种语言可能共存吗?可能。有语言学家提出,这可以通过一种特殊的社会语言使用模式——双言(diglossia)来实现。双言的典型特征是不同种类的语言在使用范围上有严格的区分。其中高阶语(high variety)[2]用于并只用于正式的官方场合或机构中;而低阶语(low variety)只用于私人和日常生活领域。理论上,这种严格区分会让人们根据社交场合来选择语言,而这种选择不会导致社会等级身份的高低变化,因为人人如此。人们对于在某种场合应该使用什么语言有所偏好,例如在家庭生活中极少使用高阶语(例如普通话),这保证了低阶语(例如方言)的广泛使用并一代代传承下去,产生客观上的语言维持效果。不过现实情况是,并不存在严格的双言状态,越来越多的小孩在家中也使用普通话,并没有严格的功能区隔。
4 R* M  r1 t* ^( u2 n. v! o- T. _弱势语言的衰弱如果不能共存,必然有一种语言会逐渐衰弱。以前面提到的盖尔语为例,盖尔语曾是苏格兰高地与西部地区的主要语言,当时使用英语和与英语非常接近的苏格兰语(Scots)的人主要集中在低地地区。下图展示了 100 多年来盖尔语衰弱的过程,其中红色、橙色和黄色分别表示一个教区中 75%-100% 、 50%-74.9% 及 25%-49.9% 的人口使用盖尔语,白色区域表示当地只有不足 25% 的人在使用盖尔语。在上个世纪后半叶,因为低地地区相对高地有更多的工作和教育机会,不少高地地区的年轻人迁居低地并开始使用英语。到 2001 年,只有 52% 的盖尔语使用者居住在高地地区,于此同时使用盖尔语的人口从 1891 年的 25 万人锐减到 6.5 万,其中只用盖尔语的在 1961 年就少于 1000 人了。
: T# c4 B$ j7 ]" y, T

盖尔语的衰弱过程

盖尔语的衰弱过程
盖尔语的衰弱过程! L6 c9 i/ t+ }: J" U2 Z" O
另一种濒危语言威尔士语趋近消亡的速度也同样迅速,虽然在 1961 年威尔士还有大量教区有 50% 以上的人在说威尔士语,但到 1981 年,只剩下 2 万多人(约 0.8% 的总人口)在使用威尔士语作为唯一的语言。威尔士当地政府很早就意识到了问题,在 1970 年代开展语言复兴计划,创造了很多条件来鼓励稳定的双语化。. \, }8 D; O9 F, u" O
化学反应般的语言扩散回到最初的问题上来,研究人员是如何算出“每年需要有 860 个说英语的当地苏格兰人学习盖尔语”?在这个问题中,我们的研究对象非常明确,就是地区使用各种语言的人口数。影响语言使用人口的因素很多,Anne Kandler 将其归于两大类。一类是内部补充能力,这包括了生育率、死亡率、移入和移出当地的人口;另一类是因为语言转移而引起的使用某种语言的人口增减,这里用 c ij 来代表i语言对 j 语言使用者的吸引力,这个数值越大,就表示 j 语言的使用者越可能转而采用 i 语言。2 t2 J' S: N; {/ m: N3 p6 e
如果把问题进一步抽象化,不难看出它是两个对象在特定空间内相互作用、互相扩散渗透并最终达到平衡的过程。这非常类似于化学反应。
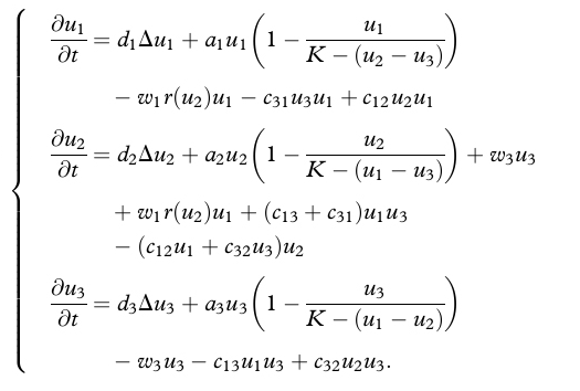
7 `9 z. F: J+ v$ YAnne Kandler 正是选择扩散-反应方程来描绘两种语言使用者在某个研究地区随时间变化的过程。她建立了一个基本模型,如下图。虽然看起来很复杂,但我们可以忽略那些豆芽菜一样的算符,以第一式为例来逐项做个简要的介绍。红线部分代表了在某个地点使用语言 A 的人口随时间的变化,蓝线部分是使用 A 语言的人在研究地区内某点扩散开来的能力,相当于化学反应中原料扩散的能力。淡蓝色部分代表了补给,在这里可以认为是通过生育新增加的使用 A 语言的人,在化学反应中相当于在反应的同时补充参加反应的化学原料。最后蓝绿色的部分代表了因为语言等级(或者说吸引力)而带来的语言转移(即扩散-反应方程的“反应”项),在化学反应中,它就代表了化学反应对系统内各物质的作用。2 `; w1 `" B0 h6 y$ o4 v: @- I

/gkimage/wx/ai/7u/wxai7u.png

/gkimage/wx/ai/7u/wxai7u.png
同样的,也可以写出上面模型中关于另外几个语言状况的反应-扩散方程。接下来就可以通过已经掌握的人口普查数据(此时,已知量是使用各语言人口的数值与其变化率),拟合出各项参数。这项研究能够得以完成,很重要的一点就在于苏格兰和威尔士具有长达近百年的人口普查和可供语言学研究进行分析的数据基础。利用这个模型研究者就可以反过来估计出未来使用各语言人口的趋势。
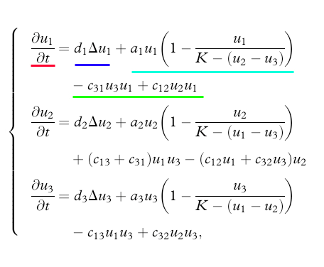
% k5 `) F) M% \如果把政府干预也算进来但这个模型并不完美:首先在上述模型描述的社会中,语言使用者会从单语人变成双语人完全只是弱势语言被强势语言取代过程中所不得不经历的过渡状态。其次,它很难表示出政策制定者对于语言的干预能力,实际上语言政策的制定者可以通过立法要求在某些领域只使用弱势语言、加大“招募”或“培训”弱势语言者的力度等方法来实现稳定的双语状态。- a& m; V, |& [/ P
Anne Kandler 据此做出改进。在双言社会中,虽然强势语言在大多数社会领域都如上述模型所描述的那样占据压倒性的优势,但是弱势语言依然能在某些领域占据主导。低阶语言的使用者要进入高阶语言为主导的社会领域,则需要学习高阶语言,这可以用 w 3 u 3 来表示,其中 w 3 为进入该社会领域的必要性。只要低阶语言还有用武之地(比如一些地区级别的商业、服务性或社交活动),也会吸引一部分使用高阶语言的单语人学习。用数学公式来表示就是 w 1 r( u 2 ) u 1 , w 1 为进入该社会领域的必要性,r( u 2 ) 表示低阶语言被使用的频率,当双语人群很大的时候,这个值为 1,反之为 0。3 e0 G/ a2 g+ t

/gkimage/62/ai/ma/62aima.png

/gkimage/62/ai/ma/62aima.png
在调整之前,我们的模型可以很好地描述自 1901 到 1970 年威尔士地区当地语言与英语使用者的变化,但由于威尔士政府 40 余年来对威尔士语的积极干预,它很明显地失效了。调整后的模型则能较好地反映出政府干预后的威尔士地区双言使用人口企稳的总体趋势。这促使 Anne Kandler 将模型用到了对保护盖尔语政策的研究上[3],计算表明,为了达到稳定的双语状态,大约每年需要860个英语使用者开始使用盖尔语。如果苏格兰人自己能够意识到保护盖尔语的重要性,把下一代人学习盖尔语的比例提高一倍,达到约 340 个苏格兰孩子从小接受盖尔语教育,这个数字可以进一步减少到 440 人左右。6 v# Y5 {& _% r+ T. J" \6 W& n3 _
编辑注: 感谢剑桥语言学者 @瓜啊之大清新(微博ID)对本文的帮助。3 j  W5 a! y5 _& x8 }! {
[1]                        语言和方言的区分在语言学中一直是难以解决的问题,因此在本文中采用较宽泛的定义,无论是语言还是方言都可宽松地指代为language(语言)。                [2]                        高阶语和低阶语只是双言理论中的术语,并不是指一种语言比另一种语言更高级或者更优秀。也有语言学家认为把这样带有意识形态含义的术语当做中性语来使用是不妥的。总的来说,当今大部分语言学家都同意,不同的语言、方言之间并没有内在的高低贵贱或者先进落后之分,社会上的语言等级现象是由长期的社会历史因素造成的不公平现象。                [3]                        注意,其实苏格兰和威尔士都不属于语言学分类中的双言地区。Anne Kandler的双言模式只是参考了双言社会现象中的一个重要特征——每种语言在各自的领域中都能占据主导地位,因此具有足够的吸引力而能够延续下去。非传统双言地区的语言发展模式能够被双言模式的公式所描述,这是个值得进一步探讨的问题。南通0
匿名
发表于 2015-10-8 16:30 | 显示全部楼层 来自:江苏
提示: 作者被禁止或删除 内容自动屏蔽
回复 支持 反对

使用道具 举报

匿名
发表于 2015-10-8 16:59 | 显示全部楼层 来自:江苏
提示: 作者被禁止或删除 内容自动屏蔽
回复 支持 反对

使用道具 举报

匿名
发表于 2015-10-8 17:20 | 显示全部楼层 来自:江苏
提示: 作者被禁止或删除 内容自动屏蔽
回复 支持 反对

使用道具 举报

匿名
发表于 2015-10-8 17:45 | 显示全部楼层 来自:江苏
提示: 作者被禁止或删除 内容自动屏蔽
回复 支持 反对

使用道具 举报

匿名
发表于 2015-10-8 18:03 | 显示全部楼层 来自:江苏
提示: 作者被禁止或删除 内容自动屏蔽
回复 支持 反对

使用道具 举报

匿名
发表于 2015-10-8 18:22 | 显示全部楼层 来自:江苏
提示: 作者被禁止或删除 内容自动屏蔽
回复 支持 反对

使用道具 举报

匿名
发表于 2015-10-8 18:40 | 显示全部楼层 来自:江苏
提示: 作者被禁止或删除 内容自动屏蔽
回复 支持 反对

使用道具 举报

匿名
发表于 2015-10-8 19:03 | 显示全部楼层 来自:江苏
提示: 作者被禁止或删除 内容自动屏蔽
回复 支持 反对

使用道具 举报

匿名
发表于 2015-10-8 19:27 | 显示全部楼层 来自:江苏
提示: 作者被禁止或删除 内容自动屏蔽
回复 支持 反对

使用道具 举报

匿名
发表于 2015-10-8 19:42 | 显示全部楼层 来自:江苏
提示: 作者被禁止或删除 内容自动屏蔽
回复 支持 反对

使用道具 举报

匿名
发表于 2015-10-8 20:02 | 显示全部楼层 来自:江苏
提示: 作者被禁止或删除 内容自动屏蔽
回复 支持 反对

使用道具 举报

匿名
发表于 2015-10-8 20:23 | 显示全部楼层 来自:江苏
提示: 作者被禁止或删除 内容自动屏蔽
回复 支持 反对

使用道具 举报

匿名
发表于 2015-10-8 20:48 | 显示全部楼层 来自:江苏
提示: 作者被禁止或删除 内容自动屏蔽
回复 支持 反对

使用道具 举报

匿名
发表于 2015-10-8 21:08 | 显示全部楼层 来自:江苏
提示: 作者被禁止或删除 内容自动屏蔽
回复 支持 反对

使用道具 举报

匿名
发表于 2015-10-8 21:25 | 显示全部楼层 来自:江苏
提示: 作者被禁止或删除 内容自动屏蔽
回复 支持 反对

使用道具 举报

匿名
发表于 2015-10-8 21:46 | 显示全部楼层 来自:江苏
提示: 作者被禁止或删除 内容自动屏蔽
回复 支持 反对

使用道具 举报

匿名
发表于 2015-10-8 22:14 | 显示全部楼层 来自:江苏
提示: 作者被禁止或删除 内容自动屏蔽
回复 支持 反对

使用道具 举报

匿名
发表于 2015-10-8 22:33 | 显示全部楼层 来自:江苏
提示: 作者被禁止或删除 内容自动屏蔽
回复 支持 反对

使用道具 举报

匿名
发表于 2015-10-8 22:55 | 显示全部楼层 来自:江苏
提示: 作者被禁止或删除 内容自动屏蔽
回复 支持 反对

使用道具 举报

该用户从未签到

发表于 2015-10-8 23:18 | 显示全部楼层 来自:江苏
我想起和计算机说话只能用C语言,java语言等等。。。。和人说话还是要讲普通话。
回复 支持 反对

使用道具 举报

匿名
发表于 2015-10-8 23:45 | 显示全部楼层 来自:江苏
提示: 作者被禁止或删除 内容自动屏蔽
回复 支持 反对

使用道具 举报

匿名
发表于 2015-10-9 00:03 | 显示全部楼层 来自:江苏
提示: 作者被禁止或删除 内容自动屏蔽
回复 支持 反对

使用道具 举报

匿名
发表于 2015-10-9 00:28 | 显示全部楼层 来自:江苏
提示: 作者被禁止或删除 内容自动屏蔽
回复 支持 反对

使用道具 举报

您需要登录后才可以回帖 登录 | 注册

本版积分规则

手机版|无图版|站务联系 | 商务合作 | 平台公约

信息产业部备案:苏ICP备05014191号-1 经营性ICP许可证:苏B2-20110445 苏公网安备 32060202000307号 © 2001-2019 0513.org All Right Reserved.

投诉争议 技术支持:第一互联 GMT+8, 2025-12-18 22:32 , Processed in 0.226070 second(s), 15 queries , MemCache On. 站点统计

快速回复 返回顶部 返回列表