濠滨论坛

点击扫描二维码

查看: 3296|回复: 33

[科普] 看物理学家怎样搞定交通罚单

[复制链接]

该用户从未签到

发表于 2015-10-8 14:27 | 显示全部楼层 |阅读模式 来自:江苏
在美国开车碰上“stop”的标记,要停车让行。不同于红绿灯,虽然法律要求汽车在这种标志前完全停止,但并未规定停车时间(不过要求看清路况)。也就是说,在这个标志面前只要车速降到 0 就“安全”了。如果不幸被躲在一边的警察发现车没有停住,一张罚单不可避免。对大多数司机来说,碰到这种事情也就只有认错交款的份。但加州大学圣地亚哥分校的一名高级研究员 Dmitri Krioukov 在因为这个原因被加州警察罚款之后,选择了上法庭申诉。
7 t  w. u% O- p$ q; p当时的情况是,他经过的道路有两条车道,在他的车身较短的丰田雅力士(Toyota Yaris)和警察中间还有另外一辆车身较长的车在通行,两辆车几乎同时从停车标记S的地方通过。他以一篇 4 页纸的物理论文向法庭证明,在这种环境下,由于另一辆车的遮挡,完全存在自己停了但警察没看到,而被误认为没有停的可能。据此 Dmitri 说服法官,成功免掉了 400 美元的罚款[1]。: b3 M3 H. w2 b& F0 f9 V2 P. Q, S1 d
早在 4 月 1 日, Dmitri 就将这篇论文公布在科学论文预印本网站arXiv上[2]。让我们一起来看看他的论证过程是怎样的,也体验一把法官的感觉。# s1 h, I1 Q3 v
警察依据什么开出罚单?首先让我们还原一下“案发现场”,如下图所示,警察 O 在和道路 L 垂直的方向上观察通过停车标志 S 处的车辆 C,当他看到车 C 没有在 S 的地方完全停止,就可以追上去给司机开出一张罚单。假设车的速度为 v,车离 S 的距离记作 x,警察离停车标志的距离 SO 记作 r 0 , 角SOC 记作 α。根据几何关系可以很容易得出,对应于随时间变化的距离 x(t),角度α(t)=arctan[x(t)/ r 0 ]。! P" j! a( T, _/ t, o! R% v- i$ g

警察在和道路垂直的方向上观察通过停车标志的车辆

警察在和道路垂直的方向上观察通过停车标志的车辆
警察在和道路垂直的方向上观察通过停车标志的车辆
/ J5 \5 \. G7 I) T5 w, C但实际上,警察观察的并不是车辆沿着道路行使的直线速度 v,而是车辆在道路上行驶时相对 O 点的角速度 ω(角度α的变化率)。就像我们站在铁路边上观察驶过的火车那样,当火车距离很远的时候,看上去像没有动一样;而当火车从面前经过的时候,我们感受到的速度非常快。对于以速度 v 匀速行驶并在 t=0 时刻通过 S 点的车辆,其对应的角速度 ω 可以用公式表示为
% O( g( X/ t3 |

/gkimage/09/7x/x6/097xx6.png

/gkimage/09/7x/x6/097xx6.png
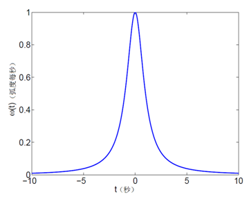
如果车的速度为 10 m/s, r 0 = 10 m,在 O 点的警察看到的角速度就如下图所示:* J" ~: }/ k" v) L/ \3 @9 E

警察观察到的匀速通过停车标志S车辆的角速度曲线

警察观察到的匀速通过停车标志S车辆的角速度曲线
警察观察到的匀速通过停车标志S车辆的角速度曲线
+ @/ N7 u# Q; g! z9 M而对于在 S 处以同样大小的加速度 a 0 从 v 减速到完全停止(t=0),再重新加速到原有的速度 v 的情况,其角速度也可以很容易地推导出来,为; Q% F% E! i) k; v8 x8 |8 T. |8 N

/gkimage/xz/bx/17/xzbx17.png

/gkimage/xz/bx/17/xzbx17.png
当初始速度为10 m/s 时,加速度为1, 3, 10 m/ s 2 不等的几种情况,警察观察到的角速度如下图所示:
9 B) v5 I4 o2 n4 D8 Q6 I6 x( L8 q9 ^

警察观察到的以同样大小的加速度a0先匀加速再匀减速通过S点车辆的角速度

警察观察到的以同样大小的加速度a0先匀加速再匀减速通过S点车辆的角速度
警察观察到的以同样大小的加速度a0先匀加速再匀减速通过S点车辆的角速度3 E4 V! _; G- z8 i  S# i
警察通过观察车辆在 S 处的角速度,就可以判定车辆是否在停车标志 S 的地方完全停止(角速度为零)。如果车辆用于停止和加速的加速度比较大,那么体现停车的角速度特征对应的时间会很短,在视线被影响的条件下,警察确实有可能误判。
" L" h+ K+ l0 O  l& `物理学家如何为自己辩护前面说过,故事主角 Dmitri 当时经过的道路有两条车道,在他的车和警察中间还有另外一辆车在通行。 Dmitri驾驶的是雅力士,车身较短(在车道1),而另外一辆车身较长,可能是斯巴鲁傲虎(Subaru Outback)之类的车(在车道2),这两辆车同时从停车标记S的地方通过。
' E& L) f3 V. U' S# H% K0 u2 U( w

警察的视线可能受到了另外一辆车的阻挡而没有观察到Dmitri停车的过程

警察的视线可能受到了另外一辆车的阻挡而没有观察到Dmitri停车的过程
警察的视线可能受到了另外一辆车的阻挡而没有观察到Dmitri停车的过程$ B% u0 E' U# T0 @+ l
问题是这辆车真的让警察误判了吗?要回答这个问题,就要准确判断警察视线受阻的时间,因此我们需要知道知道车辆的运行速度等信息。根据 Dmitri 本人的陈述,当天天气寒冷导致他身体状况不佳,在接近停车标志减速的时候他正打喷嚏,所以刹车踩的很猛,选择 a 0 =10 m/ s 2 会更接近当时的情况。据此,他估算的警察视线被部分遮挡和全部阻挡的时间分别为 t p =1.31 秒和 t f =0.45 秒。而在 a 0 =10 m/ s 2 的情况下减速或加速的过程需要的时间为 t’=1.07 秒,虽然比全部阻挡的时间长但比部分阻挡的时间短。因此很有可能警察没有看到他减速到完全停下来再加速的过程(虽然时间很短)。
, [: x$ l" s: k3 J, W4 S6 {7 B

在另一辆车遮挡视线情况下,警察可能会把观察到的角速度和预想的匀速运动混淆起来

在另一辆车遮挡视线情况下,警察可能会把观察到的角速度和预想的匀速运动混淆起来
在另一辆车遮挡视线情况下,警察可能会把观察到的角速度和预想的匀速运动混淆起来: X* n  l8 Y* b( _
这样一来,虽然 Dmitri 的车实际的角速度是上图中蓝色的曲线,其中实现了完全停止,不过由于另一辆车的阻挡,警察观察到的是红色的虚线,并没有看到中间减速和加速的过程。警察的观察和预想的以 8 m/s 速度匀速通过的车辆的角速度比较接近,可能他正是据此判定 Dmitri 没有停车而开出罚单的。
' l# X! v6 j" t5 L* l( V' x根据这些分析, Dmitri 总结说,在以下三种因素的影响下,警察很可能做出了错误的判断:
  1. # E6 r' W/ ?: D7 c
  2. 警察并不是用特殊的设备来观测车辆的线速度,他是用眼来估计车辆的角速度;
    + X. J9 x8 l9 ?  @% h9 I
  3. " |" |+ d  F, c  ^1 I& r
  4. 车辆减速和加速的加速度比较大;
    2 }5 v7 E, j% ^0 B9 i

  5. . B2 c! {" N' _! F
  6. 在t=0时刻附近,警察的视线被另外一辆车阻挡。
    # X6 s5 J9 N- J* S
复制代码
在法庭上,这个理论说服了法官,也说服了出庭作证的警察。这使得他成功免掉了 400 美元的罚款。
  X# B* q' V% \3 k之后很快,几乎全世界都知道了这个“物理学家统治世界”的传奇故事。根据圣地亚哥当地新闻的报道,当被问到是否真的完全停车时, Dmitri 微笑着说 ,“我当然停了”。
5 P! O4 |7 D7 ?很可能法官被骗了不得不说,Dmitri 在这次“斗争”中表现得智勇双全。不过他很可能只是欺负了法官和警察是外行。因为他的分析并非无懈可击,比如 PhysicsCentral 的报道就提到[3],Dmitri的推导有一个瑕疵。+ i1 R7 [$ f# j1 d( r/ |
虽然文章里面对警官视线受阻时间的估计也不是很合理,不过最大的瑕疵恐怕还是在加速度上。根据网上能找到的关于丰田雅力士的介绍(比如 这个 ),这种车从100千米每小时减速到静止需要47.21米,对应的加速度和理论里使用的10m/ s 2接近,但是从静止加速到 100 千米/小时 的速度大约需要 10 秒。也就是说,它的最大加速度大约为 3 m/ s 2 左右,不能够达到 Dmitri 宣称的 10 m/ s 2 。因此,很有可能他并没有在停车标志的地方完全停止,只是成功运用物理知识使得法官和警察相信了这种可能性。
据推测法官和警察看到这篇论文的反应应该是“虽不明但觉厉”……
扩展阅读: 在高呼“物理宅拯救世界”的同时,你知道为什么这几页纸可以在法庭上推翻警察的罚单吗?请看谋杀站的文章 物理宅的法庭“历险记” ,告诉你轻罪庭的司法程序是怎样的。& \5 W5 }$ O3 O3 d/ B
参考资料:0 m/ K7 p# j  G: g! A" Z. I
[1]                        NBC-San Diego, Man Uses Physics to Fight $400 Traffic Ticket                [2]                        Dmitri Krioukov, The Proof of Innocence, arXiv:1204.0162                [3]                        PhysicsCentral, Physicist Uses Math to Beat Traffic Ticket南通0
匿名
发表于 2015-10-8 14:32 | 显示全部楼层 来自:江苏
提示: 作者被禁止或删除 内容自动屏蔽
回复 支持 反对

使用道具 举报

匿名
发表于 2015-10-8 14:51 | 显示全部楼层 来自:江苏
提示: 作者被禁止或删除 内容自动屏蔽
回复 支持 反对

使用道具 举报

匿名
发表于 2015-10-8 15:19 | 显示全部楼层 来自:江苏
提示: 作者被禁止或删除 内容自动屏蔽
回复 支持 反对

使用道具 举报

匿名
发表于 2015-10-8 15:44 | 显示全部楼层 来自:江苏
提示: 作者被禁止或删除 内容自动屏蔽
回复 支持 反对

使用道具 举报

匿名
发表于 2015-10-8 16:07 | 显示全部楼层 来自:江苏
提示: 作者被禁止或删除 内容自动屏蔽
回复 支持 反对

使用道具 举报

匿名
发表于 2015-10-8 16:34 | 显示全部楼层 来自:江苏
提示: 作者被禁止或删除 内容自动屏蔽
回复 支持 反对

使用道具 举报

匿名
发表于 2015-10-8 16:52 | 显示全部楼层 来自:江苏
提示: 作者被禁止或删除 内容自动屏蔽
回复 支持 反对

使用道具 举报

匿名
发表于 2015-10-8 17:17 | 显示全部楼层 来自:江苏
提示: 作者被禁止或删除 内容自动屏蔽
回复 支持 反对

使用道具 举报

匿名
发表于 2015-10-8 17:47 | 显示全部楼层 来自:江苏
提示: 作者被禁止或删除 内容自动屏蔽
回复 支持 反对

使用道具 举报

匿名
发表于 2015-10-8 18:11 | 显示全部楼层 来自:江苏
提示: 作者被禁止或删除 内容自动屏蔽
回复 支持 反对

使用道具 举报

匿名
发表于 2015-10-8 18:30 | 显示全部楼层 来自:江苏
提示: 作者被禁止或删除 内容自动屏蔽
回复 支持 反对

使用道具 举报

匿名
发表于 2015-10-8 18:51 | 显示全部楼层 来自:江苏
提示: 作者被禁止或删除 内容自动屏蔽
回复 支持 反对

使用道具 举报

匿名
发表于 2015-10-8 19:19 | 显示全部楼层 来自:江苏
提示: 作者被禁止或删除 内容自动屏蔽
回复 支持 反对

使用道具 举报

匿名
发表于 2015-10-8 19:35 | 显示全部楼层 来自:江苏
提示: 作者被禁止或删除 内容自动屏蔽
回复 支持 反对

使用道具 举报

匿名
发表于 2015-10-8 19:57 | 显示全部楼层 来自:江苏
提示: 作者被禁止或删除 内容自动屏蔽
回复 支持 反对

使用道具 举报

匿名
发表于 2015-10-8 20:13 | 显示全部楼层 来自:江苏
提示: 作者被禁止或删除 内容自动屏蔽
回复 支持 反对

使用道具 举报

匿名
发表于 2015-10-8 20:42 | 显示全部楼层 来自:江苏
提示: 作者被禁止或删除 内容自动屏蔽
回复 支持 反对

使用道具 举报

匿名
发表于 2015-10-8 21:08 | 显示全部楼层 来自:江苏
提示: 作者被禁止或删除 内容自动屏蔽
回复 支持 反对

使用道具 举报

匿名
发表于 2015-10-8 21:29 | 显示全部楼层 来自:江苏
提示: 作者被禁止或删除 内容自动屏蔽
回复 支持 反对

使用道具 举报

匿名
发表于 2015-10-8 21:52 | 显示全部楼层 来自:江苏
提示: 作者被禁止或删除 内容自动屏蔽
回复 支持 反对

使用道具 举报

匿名
发表于 2015-10-8 22:09 | 显示全部楼层 来自:江苏
提示: 作者被禁止或删除 内容自动屏蔽
回复 支持 反对

使用道具 举报

该用户从未签到

发表于 2015-10-8 22:33 | 显示全部楼层 来自:江苏
@沐右  据此 Dmitri 说服法官,`成功免掉了 400 美元的罚款`_ 。这里面多了好几个无用的符号啊。
回复 支持 反对

使用道具 举报

该用户从未签到

发表于 2015-10-8 23:01 | 显示全部楼层 来自:江苏
最大加速度和最大刹车加速度没关系吧...
7 o, R3 h% d  n4 {- J( r最大加速度和车引擎的性能有关
. x+ L- H) l1 |3 ~) J最大刹车加速度和引擎又没关系
: Y, t+ K$ o7 F根据网上能找到的关于丰田雅力士的介绍(比如 这个 ),这种车从静止加速到 100 千米/小时 的速度大约需要 10 秒。也就是说,它的最大加速度大约为 3 m/ s 2 左右,不能够达到 Dmitri 宣称的 10 m/ s 2 。因此,很有可能他并没有在停车标志的地方完全停止,只是成功运用物理知识使得法官和警察相信了这种可能性。
回复 支持 反对

使用道具 举报

您需要登录后才可以回帖 登录 | 注册

本版积分规则

手机版|无图版|站务联系 | 商务合作 | 平台公约

信息产业部备案:苏ICP备05014191号-1 经营性ICP许可证:苏B2-20110445 苏公网安备 32060202000307号 © 2001-2019 0513.org All Right Reserved.

投诉争议 技术支持:第一互联 GMT+8, 2025-12-17 15:05 , Processed in 0.225011 second(s), 16 queries , MemCache On. 站点统计

快速回复 返回顶部 返回列表