濠滨论坛

点击扫描二维码

查看: 2587|回复: 31

[科普] 彩票漏洞让你快速致富

[复制链接]

该用户从未签到

发表于 2015-10-8 05:38 | 显示全部楼层 |阅读模式 来自:江苏
前些天,美国波士顿地区的一种彩票 “Cash WinFal”爆出了一个存在已久的漏洞。让人惊奇的是,一对 73 岁的夫妇已经利用这个漏洞 赚了超过 600 万美元 。一时间风雨满城,马萨诸塞州也宣布要开始调查这件事情。
& Z- e& x' C- H- |这个已销售多年的彩票究竟哪里出了问题?而对于彩票这样一种几乎是完全看运气的游戏,又真的有稳赚不赔的方法吗?那就来看看这对夫妇是怎么捡漏发大财的吧。
. e* t5 l, d5 o6 U, x“Cash WinFal”彩票是怎么玩的这个叫做“Cash WinFal”的彩票游戏的 基本规则 很简单,和国内常见的“ X 选 X ”类似:每注彩票的价格为 2 美元,包含 1 – 46 中 6 个不重复的正整数。在普通的开奖周期(通常为一个星期)中,中奖情况为:
  1. ) R) V" I- M  z$ b/ E/ O& u
  2. 选择 2 个和开奖号码相同的数字,赢 2 美元。/ |- q' C2 W( L
  3. $ ?- {& o- O; `* E
  4. 选择 3 个和开奖号码相同的数字,赢 5 美元。
    2 G' x# f4 Y2 e* L' Q8 m' \* K# |

  5. 9 |* x! ?) F8 ~
  6. 选择 4 个和开奖号码相同的数字,赢 150 美元。8 [' I# }. @* V+ O1 _  L* i0 O' X

  7.   X& A0 U( X1 `# e
  8. 选择 5 个和开奖号码相同的数字,赢 4,000 美元。
    + s: [$ O; G8 |2 `4 k" c

  9. 0 o! a( I5 M5 P, Q
  10. 当选择的 6 个数字和开奖号码完全相同时,则获得头奖(JACKPOT)。2 U4 ~) y6 ^" Z7 Y* W- W( X3 U
复制代码
头奖是一个滚动的奖池,也就是说,头奖的金额是不固定的,初始金额为 50 万美元。如果某一期没有人中头奖,那么奖金将在下一次开奖时增加,增加的数量和销售额有关,大约是这期销售额的 60%。; o* h# `% T: m
如果连续数期都没有人能中头奖,经过这几期的积累,头奖(JACKPOT)金额会到达一个很庞大的数字,通常超过 200 万美元。这时候彩票的销售商就会启动一个特殊的开奖周期,这个周期被称作“ROLLDOWN”。ROLLDOWN周期结束后,不管有没有人赢得头奖,头奖的奖金都会重新变为 50 万美元。这个周期有另一个重大的变化,那就是小奖的奖金会相应地变高:
  1. # q( ~9 b% u* t9 x
  2. 选择 2 个和开奖号码相同的数字,奖金仍然是 2 美元。; s- I. Z* I0 G! X6 h8 @- G+ q

  3. 7 P( W4 L9 U- i. Z
  4. 选择 3 个和开奖号码相同的数字,赢 50美元。
    8 G: O0 {9 _& E% r

  5. 6 }/ K. J  \; z6 L! I
  6. 选择 4 个和开奖号码相同的数字,赢 1,500 美元。1 E" L& Y6 c; c1 }/ u/ @0 F

  7. & e5 b: A( v- r5 u
  8. 选择 5 个和开奖号码相同的数字,赢 40,000 美元。7 y8 K- b. y' {' E9 l6 ?

  9. & I8 N; I9 ?- m( u
  10. 当 6 个数字和开奖号码完全相同时,就能获得至少 200 万美元的超级大奖。
    . g3 r+ W. _+ ~( t/ y
复制代码
表面上看,这个规则非常合理和人性化:当由于无人能中头奖导致奖金积累过多时,把奖金分配给其它小奖,让大多数人受益。但就是这样的一个规则,存在一个天大的漏洞,恰巧被那对夫妇发现,从而发了大财。这个漏洞到底在哪里呢?1 O7 m. @# t, D! Y
超级大奖背后的秘密

/gkimage/c5/qd/us/c5qdus.png

/gkimage/c5/qd/us/c5qdus.png
如果除去 ROLLDOWN,这个彩票和我们平时看到的彩票没有任何区别。所以,问题一定出在ROLLDOWN上。. p" w9 l- [5 u7 ?" L
ROLLDOWN的特点是:最小的奖金和最大的奖金依然按照普通规则没有变化,但是另外三个奖级的奖金和之前相比翻了 10 倍。我们不妨分别算一下在普通规则和ROLLDOWN规则中中奖金额的期望。# w/ ^5 B+ R& o7 e. d+ w
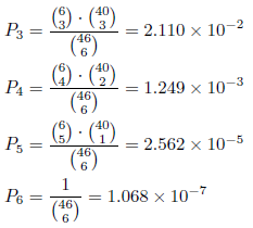
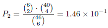
对于最小的奖来说,要求奖券上的数字恰好有两个号码和开奖号码相同。如果中了这个奖,说明奖券上有两个号码是 6 个开奖号码之一,且有四个号码是剩余 40 个没有开出的号码之一。此时中奖的概率为:# F' h# ?2 U  N& Y5 i  U) J* E

/gkimage/28/vj/kq/28vjkq.png

/gkimage/28/vj/kq/28vjkq.png
以此类推,我们还可以算出中其它几个等级奖金的概率:( \! f- H7 e1 m

/gkimage/2l/ld/ib/2lldib.png

/gkimage/2l/ld/ib/2lldib.png
而除去这些中奖的情况,不中奖的概率为:
# q  J9 {( a$ M' p8 S. I

/gkimage/hw/hy/2z/hwhy2z.png

/gkimage/hw/hy/2z/hwhy2z.png
设某个普通的开奖周期中JACKPOT的奖金为 100 万美元,此时每张彩票获得奖金的期望为:, U* {- D6 `' J

/gkimage/6c/ga/4k/6cga4k.png

/gkimage/6c/ga/4k/6cga4k.png
也就是说,彩票销售商平均每张彩票可以赚到 1.20美元 。但是对于 ROLLDOWN 周期,按头奖为 200 万美元计,每张彩票的奖金期望就是:3 p2 \$ s0 G  u0 j

/gkimage/qt/ne/0j/qtne0j.png

/gkimage/qt/ne/0j/qtne0j.png
此时购买彩票的人每张彩票平均可以赚得 2.46 美元!0 f  [" Q1 ^  u2 E$ b5 S
对于每次只买一张或少数几张彩票的彩民,这样的改变其实没有什么影响:购买一张彩票命中 3 个号码或以上的概率实在太低,即使期望上升了,大部分此类彩民依然赢不到奖金。1 @; M4 [% Q: y- E
但是对于那些留意到这个规律的“有心人”来说,事情就变得不一样了。他们的做法是,在每个 ROLLDOWN 的周期,一口气购买 10 万美元以上的彩票。这样的购买行为就具有了统计学意义——此时可以用每张彩票的期望乘以彩票的数量来近似地表示他们获得的利益: 以 10 万美元计,每个 ROLLDOWN 周期他们平均能够获得 12.3 万美元的奖金。% j4 Z/ I7 [0 p
彩票销售商在做什么?既然有人可以用这个漏洞赚钱,那么一定有人因为这个漏洞而赔钱,很显然赔钱的是彩票销售商。查阅资料可以发现,WinFal 从 2004 年 9 月 13 日开始销售,前文提到的那对夫妇已经利用这个漏洞赚了 600 万美元的奖金,顺便提一句,他们不止自己因此“受益”多年,还开了博彩公司将此方式推广,在今年五月的一个 ROLLDOWN 周期中,共开出 1605 个奖项,其中 1105 个奖项为这家博彩公司所得。一般情况下,每年都会出现几个 ROLLDOWN 周期。从 2004 年到 2011 年这么长的时间,为什么销售商没有发觉呢?  Y. {1 A+ j5 M9 N
首先是因为在很大程度上,这个漏洞还没有被普及。 从目前了解到的信息 来看,利用这个漏洞来赚钱的,也只有新闻中的这一对夫妇而已。调查以往的记录可以发现,大约 20 个开奖周期中才会有一个ROLLDOWN周期。
- `8 G& p0 x2 H2 j$ b另一方面,对彩票销售商来说,其实也并没有造成多大损失。这个彩票发售的区域马萨诸塞州,这个州总共有 600 万人,假设其中 10% 的人在参与这个彩票游戏,即 60 万人,那么每个普通周期彩票销售商的平均收入为 600,000 × 1.20 = 720,000 美元。这样在每个 ROLLDOWN 周期的前 19 个周期,可以获得的收入就是 720,000 × 19 = 13,680,000 美元。而在ROLLDOWN周期,如果没有这对夫妇的参与,销售商也会赔 600,000 × 2.46 = 1,476,000 美元。相比之下,这对夫妇所赚走的只是一个零头了罢了。
2 L8 t* c7 w+ O: d8 X( t9 x9 Y换句话说,在没有“捡漏者”参与的情况下,WinFal 的彩票销售商每 20 个周期可以赚得13,680,000 - 1,476,000 = 12,204,000 美元。既然一直在赚钱,他们自然想不到这个彩票有漏洞了,更别说有人利用它发了财。
1 v9 s7 _# F6 z9 g4 W4 w/ Y, m这是稳赚不赔的吗?

/gkimage/ai/b9/99/aib999.png

/gkimage/ai/b9/99/aib999.png
不过要说的是,彩票是一个非常依赖运气的游戏。即使找到了漏洞,这也不是一个稳赚不赔的交易——只要不能几乎把所有可能的号码都买光,就依然有赔钱的风险。问题是这个风险有多大呢?% o4 g& ?+ ?! @
我们可以把这对夫妇在每次 ROLLDOWN 周期买的每一张彩票的净利益作为一个随机变量,这样假设他们每次随机地购买 10 万美元的彩票(即 5 万张),就可以获得一系列随机变量 X1、 X2、 …、 X50000,它们相互独立且服从同一分布。+ J6 o: x( z# K8 H: q
根据中心极限定理,我们可以知道,它们相加所得的随机变量服从如下的正态分布:
5 X' P! [) X# Y

/gkimage/6e/02/lq/6e02lq.png

/gkimage/6e/02/lq/6e02lq.png
经计算可知:
' Y7 Z3 I+ ]6 a

/gkimage/ra/0w/1b/ra0w1b.png

/gkimage/ra/0w/1b/ra0w1b.png
这样,我们就能算出赔钱的概率为:8 w4 q" N, |9 ^$ R

/gkimage/ta/qh/1h/taqh1h.png

/gkimage/ta/qh/1h/taqh1h.png
所以即使利用了这个漏洞,每次投入10 万美元,仍然有 21.1% 的可能会赔钱。' [: Y3 v& @7 Q' Y" F
不过一次性购买更多的彩票可以减少赔钱的可能性——如果一次购买 100 万张彩票,赔钱的概率就仅剩 0.02%!但是这需要许多的初始资金,而且如此大规模的动作也很容易就被发现,因此这对夫妇选择的 10 万美元应该是比较适当的购买额了,由此推断,他们一定研究了很久,非常仔细地考虑了每个细节。
# O. H3 l7 k% Y9 a5 V- u彩票——概率的游戏在中国,体育彩票和福利彩票这两大彩票是最广为人知的。而它们的奖池金额都设有上限,这也是为了防止获得奖金的期望大于 0 后出现漏洞。; n- Z! T' i* n, ]
而且,包括之前提到的 WinFal 在内,所有这些彩票的奖池金额累计都与销售额有关。还有就是,如果有多个人同时中了大奖,奖金一般都会被平分。这些在一定程度上,都防止了赔本情况的出现——奖池的资金来自销售所得,销售商总会留下一部分利润,只是多少问题而已。 WinFal 出现的漏洞,其实正是因为盲目地提高了不被平分的小奖奖金导致的。
- k$ m' `/ I* k( N$ H2 W总而言之,无论什么彩票,都是一种概率的游戏。如果能掌握了其中的原理,并多多加以琢磨,发现其中的漏洞也不是什么难事。实际上确实存在许多博彩组织,专门寻找彩票中的这种漏洞,以此获利。由此看来,仅仅把彩票当做投机者的游戏,或许并不准确,很多概率学家也在虎视眈眈呢!
看来,数学学得好,才可以发现别人发现不了的挣钱良机。
编辑注:本文在“这是稳赚不赔的吗?”部分,将 21.1% 错算成了 11.2%。在微博上经 呆呆_陈江 和 祥子_Wu 指出后,重新做了计算,现已改正,特此说明。感谢两位读者指出错误,同时对给大家造成的误导和不便,表示抱歉。有损形象了,如果下次再出现这样的低级错误,我就去切腹,以死谢罪……+ M/ j3 i: Y$ Z- Z
新闻来源: U.S. 73-year-old wife exploited by researchers in the calculation of Massachusetts 6 million employed南通0

该用户从未签到

发表于 2015-10-8 05:41 | 显示全部楼层 来自:江苏
彩民不可怕,就怕彩民会算术啊。。。
回复 支持 反对

使用道具 举报

匿名
发表于 2015-10-8 06:03 | 显示全部楼层 来自:江苏
提示: 作者被禁止或删除 内容自动屏蔽
回复 支持 反对

使用道具 举报

匿名
发表于 2015-10-8 06:22 | 显示全部楼层 来自:江苏
提示: 作者被禁止或删除 内容自动屏蔽
回复 支持 反对

使用道具 举报

匿名
发表于 2015-10-8 06:38 | 显示全部楼层 来自:江苏
提示: 作者被禁止或删除 内容自动屏蔽
回复 支持 反对

使用道具 举报

匿名
发表于 2015-10-8 07:07 | 显示全部楼层 来自:江苏
提示: 作者被禁止或删除 内容自动屏蔽
回复 支持 反对

使用道具 举报

匿名
发表于 2015-10-8 07:26 | 显示全部楼层 来自:江苏
提示: 作者被禁止或删除 内容自动屏蔽
回复 支持 反对

使用道具 举报

匿名
发表于 2015-10-8 07:50 | 显示全部楼层 来自:江苏
提示: 作者被禁止或删除 内容自动屏蔽
回复 支持 反对

使用道具 举报

匿名
发表于 2015-10-8 08:07 | 显示全部楼层 来自:江苏
提示: 作者被禁止或删除 内容自动屏蔽
回复 支持 反对

使用道具 举报

匿名
发表于 2015-10-8 08:26 | 显示全部楼层 来自:江苏
提示: 作者被禁止或删除 内容自动屏蔽
回复 支持 反对

使用道具 举报

匿名
发表于 2015-10-8 08:42 | 显示全部楼层 来自:江苏
提示: 作者被禁止或删除 内容自动屏蔽
回复 支持 反对

使用道具 举报

匿名
发表于 2015-10-8 09:11 | 显示全部楼层 来自:江苏
提示: 作者被禁止或删除 内容自动屏蔽
回复 支持 反对

使用道具 举报

匿名
发表于 2015-10-8 09:38 | 显示全部楼层 来自:江苏
提示: 作者被禁止或删除 内容自动屏蔽
回复 支持 反对

使用道具 举报

匿名
发表于 2015-10-8 10:07 | 显示全部楼层 来自:江苏
提示: 作者被禁止或删除 内容自动屏蔽
回复 支持 反对

使用道具 举报

匿名
发表于 2015-10-8 10:25 | 显示全部楼层 来自:江苏
提示: 作者被禁止或删除 内容自动屏蔽
回复 支持 反对

使用道具 举报

匿名
发表于 2015-10-8 10:46 | 显示全部楼层 来自:江苏
提示: 作者被禁止或删除 内容自动屏蔽
回复 支持 反对

使用道具 举报

匿名
发表于 2015-10-8 11:11 | 显示全部楼层 来自:江苏
提示: 作者被禁止或删除 内容自动屏蔽
回复 支持 反对

使用道具 举报

匿名
发表于 2015-10-8 11:26 | 显示全部楼层 来自:江苏
提示: 作者被禁止或删除 内容自动屏蔽
回复 支持 反对

使用道具 举报

匿名
发表于 2015-10-8 11:53 | 显示全部楼层 来自:江苏
提示: 作者被禁止或删除 内容自动屏蔽
回复 支持 反对

使用道具 举报

匿名
发表于 2015-10-8 12:10 | 显示全部楼层 来自:江苏
提示: 作者被禁止或删除 内容自动屏蔽
回复 支持 反对

使用道具 举报

匿名
发表于 2015-10-8 12:31 | 显示全部楼层 来自:江苏
提示: 作者被禁止或删除 内容自动屏蔽
回复 支持 反对

使用道具 举报

匿名
发表于 2015-10-8 12:59 | 显示全部楼层 来自:江苏
提示: 作者被禁止或删除 内容自动屏蔽
回复 支持 反对

使用道具 举报

匿名
发表于 2015-10-8 13:22 | 显示全部楼层 来自:江苏
提示: 作者被禁止或删除 内容自动屏蔽
回复 支持 反对

使用道具 举报

匿名
发表于 2015-10-8 13:51 | 显示全部楼层 来自:江苏
提示: 作者被禁止或删除 内容自动屏蔽
回复 支持 反对

使用道具 举报

您需要登录后才可以回帖 登录 | 注册

本版积分规则

手机版|无图版|站务联系 | 商务合作 | 平台公约

信息产业部备案:苏ICP备05014191号-1 经营性ICP许可证:苏B2-20110445 苏公网安备 32060202000307号 © 2001-2019 0513.org All Right Reserved.

投诉争议 技术支持:第一互联 GMT+8, 2025-12-18 13:37 , Processed in 0.258140 second(s), 16 queries , MemCache On. 站点统计

快速回复 返回顶部 返回列表