濠滨论坛

点击扫描二维码

查看: 5002|回复: 33

[科普] 常在雨中跑,如何淋最少

[复制链接]

该用户从未签到

发表于 2015-10-8 00:02 | 显示全部楼层 |阅读模式 来自:江苏
相信大家经常会遇到这样一种囧况:在教室上了一天课,终于熬到可以回宿舍了,结果出门发现下起了大雨,而这时你既没有带伞又没有ggmm替你撑伞,在这样的情况下如何才能使自己淋到的雨量最少呢?  ^: F0 U$ \& F3 A$ |8 o4 C/ O
有一种很自然的想法,那就是尽可能快的跑回宿舍。但是这样也不见得是最好的,因为在你拼命往前跑的时候,有很多本来落不到你身上的雨滴会被你迎面撞上。那么究竟怎样才能淋雨最少呢?奔跑速度和身体倾斜角度是两个最关键因素。0 F; B- s# R' P9 v0 W

/gkimage/01/la/7g/01la7g.png

/gkimage/01/la/7g/01la7g.png
为了简化计算,我们近似的认为人体是个长方体,长 a 宽 b 高 h。假设雨滴匀速下落,水平速度 vx(vx可正可负),竖直速度 vy。设跑步速度为 u(如图1)。在地面上看,雨滴也在动,人也在动,看起来并不直观,于是我们切换到人参考系。在人参考系中,人是静止的,而雨滴的速度变为:竖直方向 vy,水平方向 vx(如图2)。如此一来,人应该以怎样的角度跑就显而易见了:在人参考系内,尽量让自己的身体和雨下落方向保持平行就可以了(如图3)。因为这样的角度可以保证只有头顶受雨淋,身体的其他侧面不会迎面撞上雨以及被雨打上。0 |$ {, `3 L3 P$ A7 X0 M; A
容易算出身体的倾角 α = arctan [ vy / (vx+u) ]。
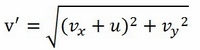
8 l: L. x+ t! M: }5 v; [' f# A' a  t接下面来就要确定最优速度。假设人要走的总距离是一个定值,设为D,设在雨中被淋的时间为t,显然 t=D/u。再假设雨滴是均匀分布的,设其质量密度为 ρ。我们现在要计算落在你身上的雨水总质量 m。有哪些雨最终是落在你身上的了呢?从图3可以很清楚看出:以头顶(即长方体的顶面)为底面,高为 v’* t的那个长方体内的所有雨滴,就是落在你身上的所有雨滴。于是6 |( K/ @: @* c# _$ ^! c+ Z. q
m = ρV = ρab * v’* t  P6 |7 O2 J9 ]' z
代入 v’的具体表达式:
( ~9 u. S( k, p3 [; F

/gkimage/d7/xg/qs/d7xgqs.png

/gkimage/d7/xg/qs/d7xgqs.png
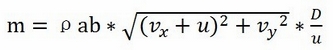
所以:
* X( q  Q! h8 I* u. N6 X

/gkimage/d7/uh/gv/d7uhgv.png

/gkimage/d7/uh/gv/d7uhgv.png
于是我们剩下的任务便是求出上式的极小值。学过高数的人都知道用求导的方法就能算出来。具体细节这里就不写了,结论是:+ K0 C. X5 G4 w* Q+ D, x
当vx ≥ 0 时,也就是迎着雨跑时,那么 m 随着 u 的增大是一直减小的,也就是说,跑得越快淋雨越少,当然前提是你得按照上面的身体倾角去跑。
" a$ s5 q& g/ k; j! G6 O0 l当vx9 S1 @0 p& R- w7 d9 c+ D
于是可以得出最后的结论:在雨中无论什么情况,只要尽可能的快跑,身体角度就按照 α = arctan[ vy / (vx+u) ] 的角度倾斜,就可以使总淋雨量最小啦。
/ {- j" T7 b& o! a5 e当然,死理性派的分析只能是最简化的模型,实际情况肯定没有这么简单。于是,如果你真的很容易忘记在雨天带伞,那么其实最好的解决方案是:找一个心甘情愿为你撑伞的gg/mm吧!南通0
匿名
发表于 2015-10-8 00:11 | 显示全部楼层 来自:江苏
提示: 作者被禁止或删除 内容自动屏蔽
回复 支持 反对

使用道具 举报

匿名
发表于 2015-10-8 00:39 | 显示全部楼层 来自:江苏
提示: 作者被禁止或删除 内容自动屏蔽
回复 支持 反对

使用道具 举报

匿名
发表于 2015-10-8 01:08 | 显示全部楼层 来自:江苏
提示: 作者被禁止或删除 内容自动屏蔽
回复 支持 反对

使用道具 举报

匿名
发表于 2015-10-8 01:35 | 显示全部楼层 来自:江苏
提示: 作者被禁止或删除 内容自动屏蔽
回复 支持 反对

使用道具 举报

匿名
发表于 2015-10-8 01:59 | 显示全部楼层 来自:江苏
提示: 作者被禁止或删除 内容自动屏蔽
回复 支持 反对

使用道具 举报

该用户从未签到

发表于 2015-10-8 02:17 | 显示全部楼层 来自:江苏
我一般情况下会把没带伞的三五个好友聚到一起包个taxi回家,特殊情况下才采用楼主的方案。
回复 支持 反对

使用道具 举报

匿名
发表于 2015-10-8 02:43 | 显示全部楼层 来自:江苏
提示: 作者被禁止或删除 内容自动屏蔽
回复 支持 反对

使用道具 举报

匿名
发表于 2015-10-8 03:00 | 显示全部楼层 来自:江苏
提示: 作者被禁止或删除 内容自动屏蔽
回复 支持 反对

使用道具 举报

匿名
发表于 2015-10-8 03:25 | 显示全部楼层 来自:江苏
提示: 作者被禁止或删除 内容自动屏蔽
回复 支持 反对

使用道具 举报

匿名
发表于 2015-10-8 03:43 | 显示全部楼层 来自:江苏
提示: 作者被禁止或删除 内容自动屏蔽
回复 支持 反对

使用道具 举报

匿名
发表于 2015-10-8 04:05 | 显示全部楼层 来自:江苏
提示: 作者被禁止或删除 内容自动屏蔽
回复 支持 反对

使用道具 举报

匿名
发表于 2015-10-8 04:21 | 显示全部楼层 来自:江苏
提示: 作者被禁止或删除 内容自动屏蔽
回复 支持 反对

使用道具 举报

匿名
发表于 2015-10-8 04:42 | 显示全部楼层 来自:江苏
提示: 作者被禁止或删除 内容自动屏蔽
回复 支持 反对

使用道具 举报

匿名
发表于 2015-10-8 05:10 | 显示全部楼层 来自:江苏
提示: 作者被禁止或删除 内容自动屏蔽
回复 支持 反对

使用道具 举报

匿名
发表于 2015-10-8 05:30 | 显示全部楼层 来自:江苏
提示: 作者被禁止或删除 内容自动屏蔽
回复 支持 反对

使用道具 举报

匿名
发表于 2015-10-8 05:52 | 显示全部楼层 来自:江苏
提示: 作者被禁止或删除 内容自动屏蔽
回复 支持 反对

使用道具 举报

匿名
发表于 2015-10-8 06:08 | 显示全部楼层 来自:江苏
提示: 作者被禁止或删除 内容自动屏蔽
回复 支持 反对

使用道具 举报

匿名
发表于 2015-10-8 06:36 | 显示全部楼层 来自:江苏
提示: 作者被禁止或删除 内容自动屏蔽
回复 支持 反对

使用道具 举报

匿名
发表于 2015-10-8 07:02 | 显示全部楼层 来自:江苏
提示: 作者被禁止或删除 内容自动屏蔽
回复 支持 反对

使用道具 举报

匿名
发表于 2015-10-8 07:19 | 显示全部楼层 来自:江苏
提示: 作者被禁止或删除 内容自动屏蔽
回复 支持 反对

使用道具 举报

匿名
发表于 2015-10-8 07:43 | 显示全部楼层 来自:江苏
提示: 作者被禁止或删除 内容自动屏蔽
回复 支持 反对

使用道具 举报

匿名
发表于 2015-10-8 08:07 | 显示全部楼层 来自:江苏
提示: 作者被禁止或删除 内容自动屏蔽
回复 支持 反对

使用道具 举报

匿名
发表于 2015-10-8 08:22 | 显示全部楼层 来自:江苏
提示: 作者被禁止或删除 内容自动屏蔽
回复 支持 反对

使用道具 举报

您需要登录后才可以回帖 登录 | 注册

本版积分规则

手机版|无图版|站务联系 | 商务合作 | 平台公约

信息产业部备案:苏ICP备05014191号-1 经营性ICP许可证:苏B2-20110445 苏公网安备 32060202000307号 © 2001-2019 0513.org All Right Reserved.

投诉争议 技术支持:第一互联 GMT+8, 2025-12-18 15:52 , Processed in 0.886264 second(s), 15 queries , MemCache On. 站点统计

快速回复 返回顶部 返回列表