濠滨论坛

点击扫描二维码

查看: 2323|回复: 29

[科普] 喝酒也要用几何:让你看上去喝得更多

[复制链接]

该用户从未签到

发表于 2015-10-7 16:35 | 显示全部楼层 |阅读模式 来自:江苏
20 世纪,心理学家 Jean Piaget 曾提出了著名的认知发展理论。他发现,小孩儿明显缺乏对物体体积的认知能力。把缸子里的水倒进一个细杯子里,水位明显上升了,小孩子们便会手舞足蹈地说,哇,水变多了耶!  e8 |$ A6 L, Y: B8 T' }8 j
不过,实际经验告诉我们,成年人似乎也好不到哪儿去。在感知不同形状的物体体积时,人们似乎有一种天生的障碍。如果用一个横截面积更小的杯子来喝酒,别人或许会真的以为你喝得更多呢!3 V3 s1 c- M& R$ Q4 _& O
细而高的杯子看上去就是大些问题的关键在于半径与体积的关系上:半径扩大到原来的 n 倍,横截面积会扩大到原来的 n 2 倍。为了让圆柱体的体积保持不变,它的高度必须要缩小到原来的 1/n 2 。1 `; l& u6 i: Z* h/ S
同样地,把一个圆柱体的半径缩小 1/10,看上去似乎是微不足道的;然而,要想让圆柱体的体积保持不变,高度必须要增加到原来的 1/(0.9*0.9),大约是 1.23 倍。从视觉上看,23% 的高度变化要比 10% 的半径变化明显得多,于是乍看上去体积似乎变大了。, w. P; V! |; a7 {' F3 v

http://www.guokr.com/gkimage/eg/fa/vw/egfavw.png

http://www.guokr.com/gkimage/eg/fa/vw/egfavw.png
左边那个圆柱体的体积看上去是不是更大一些呢?其实,这三个圆柱体的体积是相同的。% `2 z  E. D. O6 o
杯子上部的空间比你想象的更大下图是一个酒杯,里面的酒没有倒满。那么,你认为酒的体积占整个酒杯容积的百分之多少?
- P1 V" I( t+ `# |

http://www.guokr.com/gkimage/lg/sw/2w/lgsw2w.png

http://www.guokr.com/gkimage/lg/sw/2w/lgsw2w.png
如果酒杯没有装满的话,你可以少喝多少酒?) g2 q7 \5 D3 B' j) r
为了解决这个问题,我们需要知道圆台体积的计算公式:7 L7 w: ?" C" r  g4 a

http://www.guokr.com/gkimage/6z/4m/aw/6z4maw.png

http://www.guokr.com/gkimage/6z/4m/aw/6z4maw.png
因此,整个杯子的容积为:
2 |+ n$ Y1 l3 e3 C; `  z

http://www.guokr.com/gkimage/5u/2z/l5/5u2zl5.png

http://www.guokr.com/gkimage/5u/2z/l5/5u2zl5.png
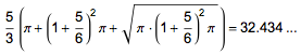
但液面高度只达到整个酒杯高度的 5/6,因此液体体积为:
* s. M& T/ H" ]0 n' n

http://www.guokr.com/gkimage/tz/rq/ld/tzrqld.png

http://www.guokr.com/gkimage/tz/rq/ld/tzrqld.png
两者一除,答案简直让人不敢相信:酒的体积竟然只有整个酒杯容积的 73.74%,也就是说这样便能少喝超过 1/4 的酒!
- c# n. \3 V6 J: f2 C9 e可是,为什么仅仅少了 1/6 的高度,就能少喝 1/4 的酒呢?这仍然是半径与体积的关系在作怪。人们总是关注酒杯液面的高度,却忽视了倾斜的杯壁对体积的影响。而酒杯内部是一个立体的空间,这更是放大了这种影响。如果半径以线性的速度增加,横截面积将会以平方级的速度增加,因此,靠近杯口的位置占据的空间比人们想象中的更多。
过年了免不了喝酒,不过还是要提醒大家,喝酒伤身,少喝为宜。换一个细一些的杯子,别给自己倒太满,你能少喝不少酒呢。
南通0
匿名
发表于 2015-10-7 16:45 | 显示全部楼层 来自:江苏
提示: 作者被禁止或删除 内容自动屏蔽
回复 支持 反对

使用道具 举报

该用户从未签到

发表于 2015-10-7 17:11 | 显示全部楼层 来自:江苏
这个问题,可以用这个观点来看。% D6 Q% u2 I  v/ I7 M
体积一定:pi*r^2=V/h* y7 o4 O0 X  p, q
两边微分: 2pi*r dr=-V/h^2 dh
2 i/ U) E7 P2 X, |/ @& X7 Nh对r 的变化率  2 pi * h  (  r变化一点点,h会变化一点)
+ }; C3 z) `+ b' E- C: r4 _5 kr对h的变化率  1/2pi (h变化一点,r才变化一点点)3 P; F( q4 x9 r5 Y5 o
   而我们要利用 微小的变化 造成 巨大变化的原理 ,来表现出 假象。
回复 支持 反对

使用道具 举报

匿名
发表于 2015-10-7 17:37 | 显示全部楼层 来自:江苏
提示: 作者被禁止或删除 内容自动屏蔽
回复 支持 反对

使用道具 举报

匿名
发表于 2015-10-7 17:56 | 显示全部楼层 来自:江苏
提示: 作者被禁止或删除 内容自动屏蔽
回复 支持 反对

使用道具 举报

匿名
发表于 2015-10-7 18:20 | 显示全部楼层 来自:江苏
提示: 作者被禁止或删除 内容自动屏蔽
回复 支持 反对

使用道具 举报

匿名
发表于 2015-10-7 18:44 | 显示全部楼层 来自:江苏
提示: 作者被禁止或删除 内容自动屏蔽
回复 支持 反对

使用道具 举报

匿名
发表于 2015-10-7 19:06 | 显示全部楼层 来自:江苏
提示: 作者被禁止或删除 内容自动屏蔽
回复 支持 反对

使用道具 举报

匿名
发表于 2015-10-7 19:34 | 显示全部楼层 来自:江苏
提示: 作者被禁止或删除 内容自动屏蔽
回复 支持 反对

使用道具 举报

匿名
发表于 2015-10-7 19:59 | 显示全部楼层 来自:江苏
提示: 作者被禁止或删除 内容自动屏蔽
回复 支持 反对

使用道具 举报

匿名
发表于 2015-10-7 20:21 | 显示全部楼层 来自:江苏
提示: 作者被禁止或删除 内容自动屏蔽
回复 支持 反对

使用道具 举报

匿名
发表于 2015-10-7 20:37 | 显示全部楼层 来自:江苏
提示: 作者被禁止或删除 内容自动屏蔽
回复 支持 反对

使用道具 举报

匿名
发表于 2015-10-7 21:00 | 显示全部楼层 来自:江苏
提示: 作者被禁止或删除 内容自动屏蔽
回复 支持 反对

使用道具 举报

匿名
发表于 2015-10-7 21:15 | 显示全部楼层 来自:江苏
提示: 作者被禁止或删除 内容自动屏蔽
回复 支持 反对

使用道具 举报

匿名
发表于 2015-10-7 21:42 | 显示全部楼层 来自:江苏
提示: 作者被禁止或删除 内容自动屏蔽
回复 支持 反对

使用道具 举报

匿名
发表于 2015-10-7 22:11 | 显示全部楼层 来自:江苏
提示: 作者被禁止或删除 内容自动屏蔽
回复 支持 反对

使用道具 举报

匿名
发表于 2015-10-7 22:41 | 显示全部楼层 来自:江苏
提示: 作者被禁止或删除 内容自动屏蔽
回复 支持 反对

使用道具 举报

匿名
发表于 2015-10-7 23:00 | 显示全部楼层 来自:江苏
提示: 作者被禁止或删除 内容自动屏蔽
回复 支持 反对

使用道具 举报

匿名
发表于 2015-10-7 23:22 | 显示全部楼层 来自:江苏
提示: 作者被禁止或删除 内容自动屏蔽
回复 支持 反对

使用道具 举报

匿名
发表于 2015-10-7 23:48 | 显示全部楼层 来自:江苏
提示: 作者被禁止或删除 内容自动屏蔽
回复 支持 反对

使用道具 举报

匿名
发表于 2015-10-8 00:09 | 显示全部楼层 来自:江苏
提示: 作者被禁止或删除 内容自动屏蔽
回复 支持 反对

使用道具 举报

匿名
发表于 2015-10-8 00:33 | 显示全部楼层 来自:江苏
提示: 作者被禁止或删除 内容自动屏蔽
回复 支持 反对

使用道具 举报

匿名
发表于 2015-10-8 01:00 | 显示全部楼层 来自:江苏
提示: 作者被禁止或删除 内容自动屏蔽
回复 支持 反对

使用道具 举报

匿名
发表于 2015-10-8 01:24 | 显示全部楼层 来自:江苏
提示: 作者被禁止或删除 内容自动屏蔽
回复 支持 反对

使用道具 举报

您需要登录后才可以回帖 登录 | 注册

本版积分规则

手机版|无图版|站务联系 | 商务合作 | 平台公约

信息产业部备案:苏ICP备05014191号-1 经营性ICP许可证:苏B2-20110445 苏公网安备 32060202000307号 © 2001-2019 0513.org All Right Reserved.

投诉争议 技术支持:第一互联 GMT+8, 2025-12-20 05:25 , Processed in 0.191959 second(s), 15 queries , MemCache On. 站点统计

快速回复 返回顶部 返回列表