濠滨论坛

点击扫描二维码

查看: 1275|回复: 1

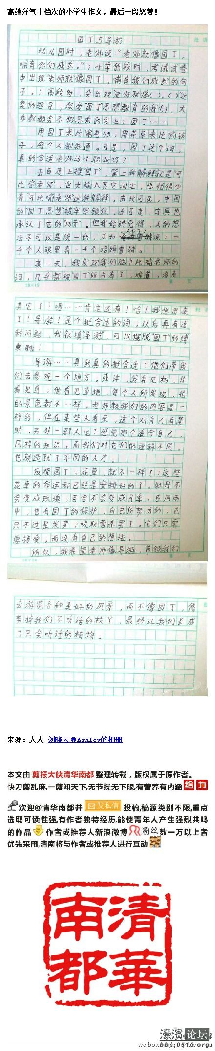
【高端洋气上档次的小学生作文,最后一段怒赞!】

[复制链接]
  • TA的每日心情
    开心
    2016-4-8 21:58
  • 签到天数: 689 天

    [LV.9]以坛为家II

    发表于 2013-11-12 21:13 | 显示全部楼层 |阅读模式 来自:江苏
    89ad7439jw1eaig9w1su0j20c81nm470.jpg 南通0
    匿名
    发表于 2013-11-12 21:21 来自手机WAP | 显示全部楼层 来自:江苏 电信/全省通用
    提示: 作者被禁止或删除 内容自动屏蔽
    回复 支持 反对

    使用道具 举报

    您需要登录后才可以回帖 登录 | 注册

    本版积分规则

    手机版|无图版|站务联系 | 商务合作 | 平台公约

    信息产业部备案:苏ICP备05014191号-1 经营性ICP许可证:苏B2-20110445 苏公网安备 32060202000307号 © 2001-2019 0513.org All Right Reserved.

    投诉争议 技术支持:第一互联 GMT+8, 2025-12-24 19:52 , Processed in 0.142910 second(s), 18 queries , MemCache On. 站点统计

    快速回复 返回顶部 返回列表