濠滨论坛

点击扫描二维码

查看: 95|回复: 1

[育儿心经] 不看、少看视频,娃就不近视吗?娃近视的几个误区,你必须知道

[复制链接]
  • TA的每日心情
    开心
    2014-6-7 16:31
  • 签到天数: 22 天

    [LV.4]偶尔看看III

    发表于 2021-7-11 10:09 | 显示全部楼层 |阅读模式
    这几天身边亲朋好友的孩子们也陆续放暑假了,C爸接到亲朋好友们最多的三类咨询:
    暑假了,要不要割个包皮儿?
    暑假了, 想带孩子去查查眼~
    暑假了,想带娃去补补牙!
    哈哈,别着急,这几个问题陆续都会写,今天咱们先聊聊娃的眼睛吧。
    在这个超长假期,网课、电影、动画片、游戏……一路下来最让人担心的,便是娃的眼睛了。身边有不少把孩子送去姥姥姥爷/爷爷奶奶家的朋友,临别最后一句话大都是:少让TA看视频啊,不然这一暑假,非把眼看坏了。
    的确,跟咱们小时候比,这代孩子近视越来越低龄化了。
    据权威数据显示,2019年全国少年儿童总近视率是53.6%,其中6岁以下的儿童近视率为14.5%,小学生为36.0%,初中生为71.6%,而高中生近视率则高达81%。
    但是,少看视频就能不近视吗?
    Too young,too simple.大多数家长对于近视这个问题,还存在着许多认知盲区,有时候,反而因为一知半解弄巧成拙。
    今天这篇,特意挑选了一些大家比较关注、模糊的“近视”问题,希望能澄清你某些认知误区。
    关于近视的Q&A:
    不看、少看视频就不容易近视?
    并没有直接关系。很多妈妈都会把孩子近视归因于看屏幕太多。之前咱们就有辟过谣,电子产品并不是直接导致孩子近视的罪魁祸首。
    美国眼科协会发布的文章明确指出:电脑屏幕、智能手机或其它电子设备不会给眼睛带来永久性的生理损伤,它只会让眼睛感受到干涩和疲劳。(不过这也是后天对近视造成影响最关键因素)。
    电子产品对眼睛真正的影响是用眼过度!但是用眼过度,不是电子产品的“专利”。如果不注意用眼,哪怕完全不看电子产品,只做大人鼓励的活动,比如说看书、拼乐高、拼图、练琴等也有可能导致近视。
    连续用眼时间、近距离用眼时间、不恰当的光线/环境下用眼,都是导致用眼疲劳,最终导致近视的原因。
    像乐高,CC这样大点的孩子玩得已经是小颗粒的了,孩子需要近距离的看图纸,拼颗粒,这么一坐也能坐个1小时以上,也很费眼睛。
    再比如说看书的时候,在光线较暗的环境下,会不自觉地把书的距离拉近。所以,除了控制屏幕时间之外,看书、拼乐高、拼图、弹琴等活动的用眼习惯一样也要注意。
    注意遵守“20-20-20”原则,即:用眼20分钟,向20英尺(6米外)远眺不少于20秒。
    当然,这只是理想状态下。事实上,很多时候很多人都难以实现。比如CC拼乐高,我不可能定个表每20分钟打断她一次远眺一会儿吧。又或者中午家人都休息,从不午睡的CC一般都是自己安静看书,有时候还是这样躺着。
    所以,比起紧盯用眼习惯,我更关注的一点,是孩子的户外活动时间是否充足。(建议每天保证至少2小时以上。)
    悉尼大学的凯瑟琳·罗斯(Kathryn Rose)博士带领团队,花了3年时间,跟踪调查了两组华裔孩子,他们都在6-7岁之间,一组生活在悉尼,一组生活在新加坡。
    生活在悉尼的孩子花在课桌前读书、学习的时间更多,但奇怪的是他们的近视率只有3.3%;而生活在新加坡的孩子近视率却有29.1%。
    罗斯团队找到的最重要因素就是户外活动的时长:悉尼的华裔孩子每周在户外活动上会花去13.75小时的时间,相比之下,新加坡的华裔孩子每周户外活动时间只有3.05小时。
    经常户外活动的孩子,接收足够明亮阳光的机会多,这可以促进眼睛视网膜神经细胞分泌多巴胺,保护眼轴不会变的过长,从根源上防止了近视发生。
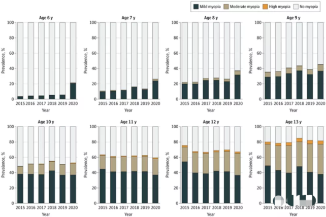
    但在室内的弱光下,这种刺激会减少,更容易导致眼球变形。去年权威杂志《JAMA眼科学》上的一项调查发现:2020年中国儿童的近视率比2019年有明显增加,尤其是6岁年龄组,近视发病率是2019年的6倍。
    很大一个原因就是因为疫情期间孩子们不能出门。用眼和户外活动就好比吃糖和刷牙,少吃糖自然是好,但想要不蛀牙更重要的是好好刷牙。
    暑假用眼比平时多,这很难免,CC会花一个小时拼乐高,也会花一个小时看电影。在不确定她能否自觉遵守标准用眼原则的前提下,我做的就是增加她户外活动的时长。暑假最空的就是时间,现在她每天至少4个小时的户外活动时间。
    有研究表明,每日每增加1小时的户外活动,近视发生概率可降低2%。这几乎是最简单、最方便、也最科学的预防近视方法了。(当然用眼习惯也要一直给娃“洗脑”,这是培养长期习惯)
    近视真的不可逆的吗?
    真性近视的确是不可逆的。很多妈妈发现孩子近视后,特别不愿接受,尤其是低龄孩子,对娃这么小戴眼镜有点抵触。正是因为如此,各类治疗近视的“神药”、“神器”也应运而生。
    但事实是,一旦真正近视,无论几岁的孩子,都是不能治愈的,目前尚无任何一种药物或器械或训练方法,被证实可完全治愈近视。因为孩子近视和眼轴长度有关,眼轴就是从角膜顶点到视网膜中轴线的距离长度,如下图所示:
    如果孩子眼睛发生真性近视,眼轴长度通常会大于23.5~24mm。而眼轴长度是不可逆的,就像是孩子长了大高个儿是不会变矮的。
    眼镜一旦戴上就摘不下来了,能少带/晚带吗?
    我在医院见过很多这样的情况,验光后明明知道孩子已经近视了。而很多家长却不想配镜,认为度数不高没必要,或者配镜后不科学配戴,比如看书写字时戴,日常就摘下来。
    认为眼镜一旦戴上就摘不下来了,而且越戴度数越加深。实际上这些观点都是错误的!科学佩戴眼镜不但不会使近视度数加深,反而能有效地阻止或减慢近视的发展。
    因为戴眼镜后可消除眼睛疲劳,如果不戴眼镜,近视要想看清远处的物体,就必须要眯着眼镜看,这样会使眼内外肌肉过度疲劳,加速近视的发展。
    所以,想要延缓近视度数的增长,最正确、最省钱的方法还就是佩戴眼镜,定期复查和及时调整度数,改掉不良用眼习惯。对于已经近视的孩子而言,不佩戴眼镜,反而热衷于给孩子做各种“恢复训练”、配戴各种“理疗仪器”,无疑是在交智商税了。
    护眼产品更护眼吗?
    防蓝光眼镜——别买,智商税!
    最近,“防蓝光系列”特别火,尤其是防蓝光眼镜,几乎每个小朋友都有。确实存在会伤害视网膜的“有害蓝光”(波长400-440纳米之间),但还需要结合“强度”和“时间”这两个条件。
    而电子设备发出的蓝光不足以达到伤害眼睛的强度。美国眼科协会明确指出:没有科学证据表明,手机、电脑等设备发出的蓝光强度,会对眼睛造成伤害。
    而且防蓝光眼镜在过滤掉蓝光的同时,也会降低屏幕的亮度。蓝光眼镜下的屏幕会偏暗偏黄,这种视觉效果就像在昏暗的灯光下看书,反而容易加剧视觉疲劳,如果孩子不自觉地调整亮度,会更加刺激视神经。
    全世界眼科医生对儿童蓝光眼镜的态度都是一致的:百害而无一利。更别说,部分防蓝光眼镜还存在质量问题,戴了还有许多未知风险!护眼灯——可以买,但护眼可不是一盏台灯就可以的。
    很多家庭的照明条件,满足不了读写的需求,所有家里有娃的确需要一台学习灯。不过,很多学习灯,都在用“护眼灯”作为点来宣传的。
    市场上的护眼灯,最大的卖点就属避免频闪和过滤蓝光了。蓝光咱们说了,再来说下频闪。事实上,只要是几百赫兹以上的普通灯具,都不存在肉眼可以感受得到的频闪,这种频闪并不会让我们的眼睛不舒服。
    换句话说,只要购买的是合格产品,就不用担心频闪。
    既然普通灯管的光源不伤眼,自然也就不存在“无频闪”可以护眼的说法了。 所以,在选择的时候,不要被那些五花八门护眼功能所迷惑。
    选购的时候,最关键的是看光源设置。避免室内环境与眼睛所看物体亮度差异过大,比如在黑暗的屋子里只开写字的台灯,这会加剧眼睛疲劳。
    所以,在学习的时候,“双光源”是黄金准则,也就是室内环境开灯,然后再有个台灯。而且,台灯不要放置在正前方,也不要放置在书写的手一侧,避免光源直射到眼睛,比如右手书写的话,台灯放在左侧。
    0 q* w* \! A2 k3 @7 j& b8 E3 y& K$ }, M0 |
    南通0
    头像被屏蔽

    该用户从未签到

    发表于 2021-7-12 09:41 | 显示全部楼层
    提示: 作者被禁止或删除 内容自动屏蔽
    回复 支持 反对

    使用道具 举报

    您需要登录后才可以回帖 登录 | 注册

    本版积分规则

    手机版|无图版|站务联系 | 商务合作 | 平台公约

    信息产业部备案:苏ICP备05014191号-1 经营性ICP许可证:苏B2-20110445 苏公网安备 32060202000307号 © 2001-2019 0513.org All Right Reserved.

    投诉争议 技术支持:第一互联 GMT+8, 2025-12-5 17:03 , Processed in 0.314927 second(s), 13 queries , MemCache On. 站点统计

    快速回复 返回顶部 返回列表